Apple Final Cut Pro 6 User Manual
Page 1315

530
Color Correction and Video Quality Control
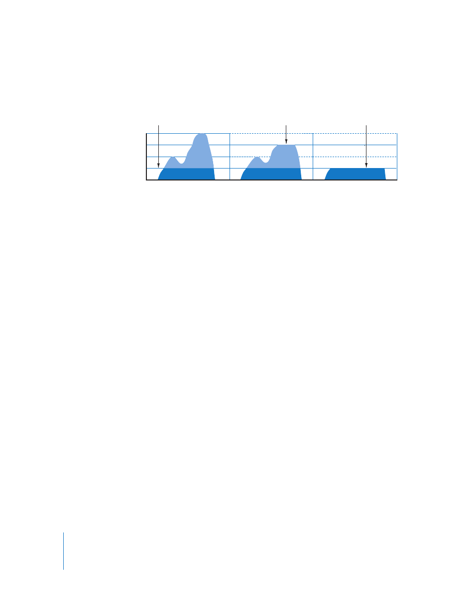
In the following example, the Clamp Above parameter removes details above a value of
100. Then, the Max. Output parameter compresses the clamped values between 90 and
100 down to 90, resulting in a signal that is clamped at a value of 90.
Applying the Broadcast Safe Filter to Nested Sequences
The Broadcast Safe filter should always be the last filter applied to a clip to make sure other
filters that can cause illegal values are corrected. However, in some cases, illegal values may
be generated because of the order in which video is processed in Final Cut Pro.
Here are the video processing steps, in order:
 Filters (filters that appear at the top of the Filters tab in the Viewer are processed first,
followed by filters that appear later)
 Motion parameters such as Scale and Rotation and attributes such as Crop and Distort
 Transitions between two clips in a track
 Compositing modes that blend one or more video clip items together
 Filters applied to the entire sequence (achieved by nesting a sequence and then
applying a filter to it)
Motion parameters, transitions, and compositing modes can alter the results of the
Broadcast Safe filter applied to individual clips. In these cases, it’s best to create a
nested sequence and then apply the Broadcast Safe filter to the nested sequence. For
more information about nested sequences, see Volume II, Chapter 23, “Sequence-to-
Sequence Editing.” This is also more efficient than applying the Broadcast Safe filter to
every clip in your sequence.
105
100
95
90
85
Clamp Above = 100
Max. Output = 90
Max. Output
Start (Threshold) = 90
Start (Threshold)
Clamp Above
