Directory
Brands
RADWAG manuals
Scales
PS 510.R2.CT Carat Balance
Manual

RADWAG PS 510.R2.CT Carat Balance User Manual

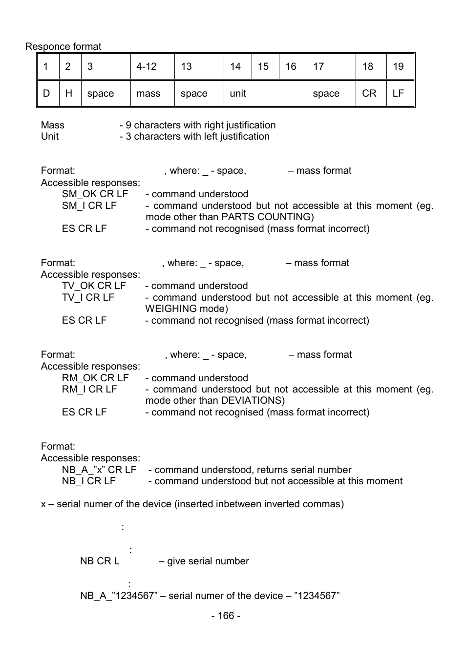
Page 166

  • Text mode
  • Original mode
RADWAG PS 510.R2.CT Carat Balance User Manual | Page 166 / 174 RADWAG PS 510.R2.CT Carat Balance User Manual | Page 166 / 174
Pages: 1 … 164 165 166 167 168 … 174
  • wrong Brand
  • wrong Model
  • non readable
This manual is related to the following products:
  • LCD RADWAG BALANCES
See also other documents in the category RADWAG Scales:
  • WLC 0,6/A1/C/2 Precision Balance (78 pages)
  • WPW 15/F1/K Multifunctional Scales (170 pages)
  • WPW 15/F1/K Multifunctional Scales (175 pages)
  • WPW 15/F1/K Multifunctional Scales (185 pages)
  • WPW 15/F1/K Multifunctional Scales (187 pages)
  • HTY 60/H3/K Multifunctional Scales (249 pages)
  • TMX 1,5/3/H1 Multifunctional Scales (135 pages)
  • WPT/4I 2000 S1 Livestock Scales (78 pages)
  • WTB 600/AU Carat Balance (65 pages)
  • WPT/P 2 Postal Scales for Letters (48 pages)
  • WPT 100/200 O Personal Scales (63 pages)
  • ZRi02 power supplier (12 pages)
  • PUE EX indicator (47 pages)
  • Beam scales (85 pages)
  • WPY Scales (225 pages)
  • Waterproof scales of WPT/HR series (85 pages)
Home Brands Popular manuals Recently added
Manuals Directory

© 2012–2025, azmanual.top
All rights reserved.