Search
Directory
Brands
AMD manuals
Cassette Decks
SB600
Manual
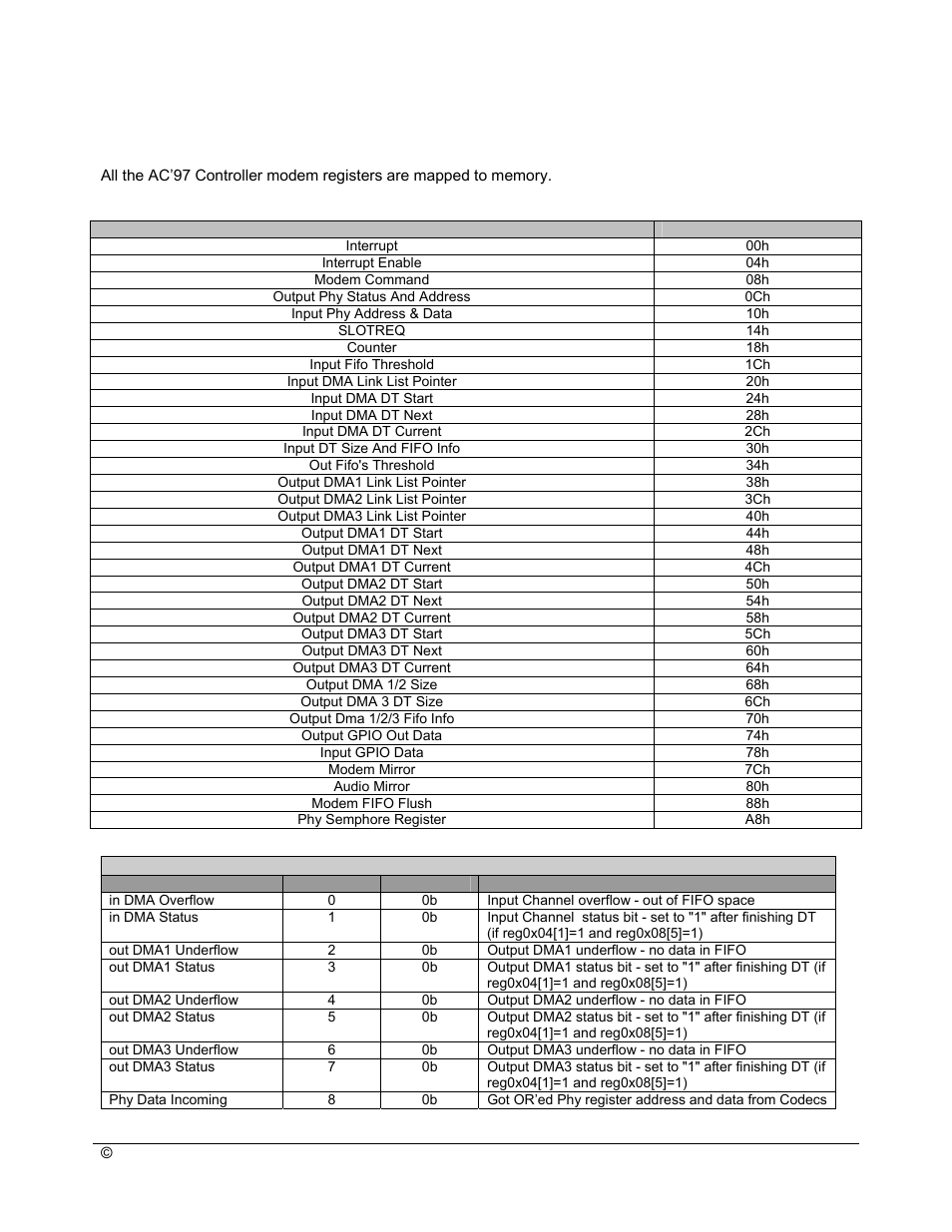
Modem memory mapped registers – AMD SB600 User Manual
Page 218
Text mode
Original mode
Modem memory mapped registers | AMD SB600 User Manual | Page 218 / 300
Pages:
1
…
216
217
218
219
220
…
300
wrong Brand
wrong Model
non readable