Search
Directory
Brands
AMD manuals
Cassette Decks
SB600
Manual
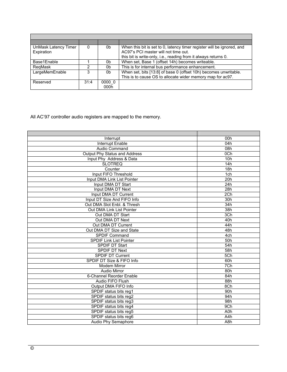
Audio memory mapped registers – AMD SB600 User Manual
Page 203
Text mode
Original mode
Audio memory mapped registers | AMD SB600 User Manual | Page 203 / 300
Pages:
1
…
201
202
203
204
205
…
300
wrong Brand
wrong Model
non readable