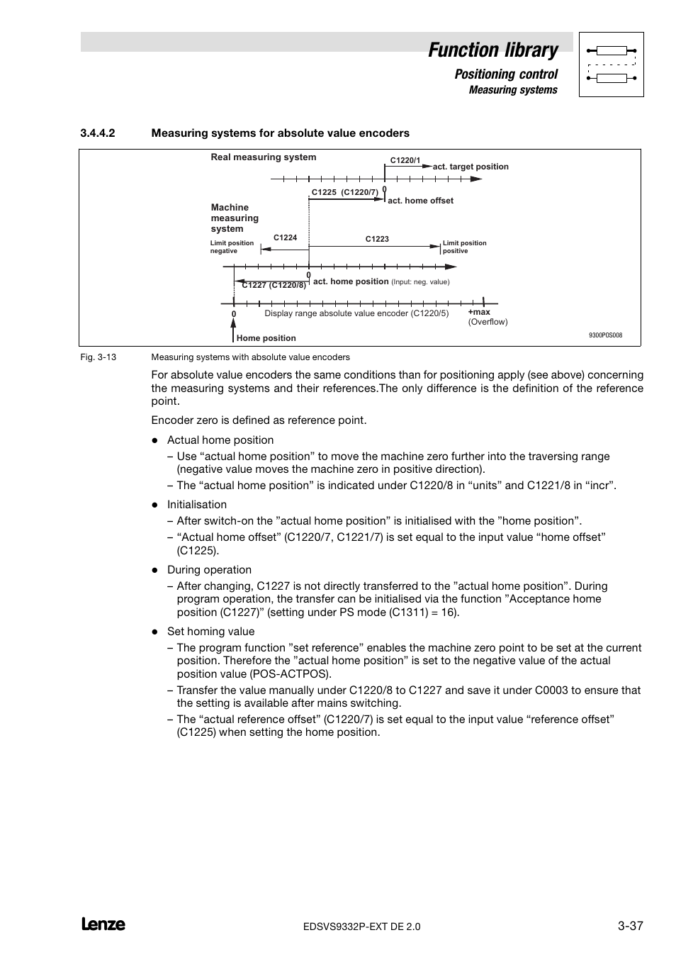
Measuring systems for absolute value encoders, Function library, Positioning control – Lenze EVS9332xP User Manual
Page 65
                    This manual is related to the following products:                                    
                                                                        See also other documents in the category Lenze Hardware:                                                            
                    - ESMD smd tmd remote keypad (4 pages)
 - EPM Programmer EEPM1RA (114 pages)
 - ESMDC (36 pages)
 - SMD Frequency Inverter 0.37kW-22kW (116 pages)
 - SMD Frequency Inverter: Basic I/O with CANopen 0.25kW-4.0kW (36 pages)
 - SMD 0-25kW-4-0kW (112 pages)
 - smd Series Drives (32 pages)
 - ESV SMV remote keypad H0 (2 pages)
 - ESV SMV remote keypad H1 (2 pages)
 - SV SMV additional I-O module (14 pages)
 - EEPM1RA EPM (26 pages)
 - SMVector RS-485 LECOM (29 pages)
 - E84AYM10S (4 pages)
 - E84AYCET EtherCAT MCI module (109 pages)
 - EZAMBKBM (6 pages)
 - E84AYCEC (89 pages)
 - ERBPxxxRxxxx Brake resistor 200W-300W (134 pages)
 - E84AYCPM (115 pages)
 - E84AYCEO (165 pages)
 - E84AYCER (94 pages)
 - E84AVSCx 8400 StateLine C (76 pages)
 - EZVxxxx-000 Power supply unit AC 230V 5A-20A (62 pages)
 - E84AYCIB (75 pages)
 - E82ZWBRB (48 pages)
 - EZVxx00−001 Power supply unit AC 400V 5A-20A (64 pages)
 - E82ZWBRE (64 pages)
 - EZAEBK1001 (94 pages)
 - E94AYAE SM301 (134 pages)
 - E94AYAE SM301 (74 pages)
 - E94AYAE SM301 (140 pages)
 - E94AZPS (114 pages)
 - E94AYCIB (78 pages)
 - E94AYCIB (124 pages)
 - E94AZEX100 (84 pages)
 - EZS3-xxxA200 Sinusoidal filter 115-150A (44 pages)
 - E94AZHA0051 (104 pages)
 - E94AZCDM030 (72 pages)
 - EZS3-xxxA200 Sinusoidal filter 180-480A (74 pages)
 - E94AYCCA (188 pages)
 - E94AYCCA (114 pages)
 - E94AZHB0101 (104 pages)
 - E94AYCPM (114 pages)
 - E94AYCPM (125 pages)
 - E94AYCET (140 pages)
 - E94AYCET (103 pages)
 
