Search
Directory
Brands
Tyco manuals
Safety
F3200
Manual
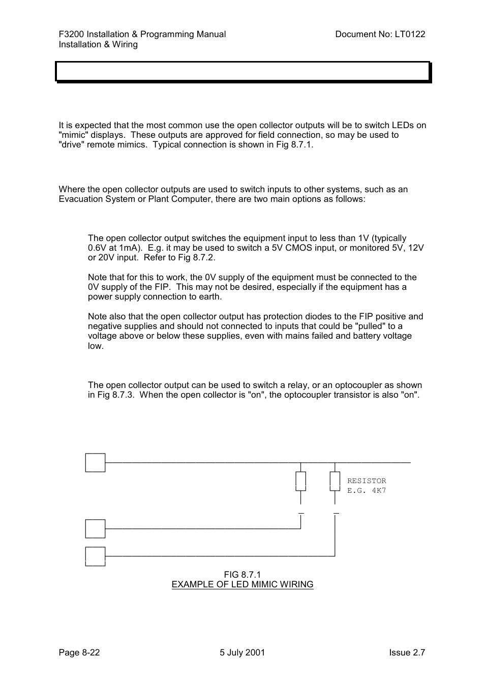
Open collector wiring, Led mimic displays, Interfacing to other equipment – Tyco F3200 User Manual
Page 160: Open collector wiring -22, 7 open collector wiring
Text mode
Original mode
Open collector wiring, Led mimic displays, Interfacing to other equipment | Open collector wiring -22, 7 open collector wiring | Tyco F3200 User Manual | Page 160 / 284
Pages:
1
…
158
159
160
161
162
…
284
wrong Brand
wrong Model
non readable
See also other documents in the category Tyco Safety:
MX4428
(134 pages)
Power608
(20 pages)
4100U-S1
(138 pages)
4100U
(180 pages)
PC1150
(12 pages)