Directory
Brands
HP manuals
Faxes
FACSIMILE MACHINE HP FAX-700
Manual

HP FACSIMILE MACHINE HP FAX-700 User Manual

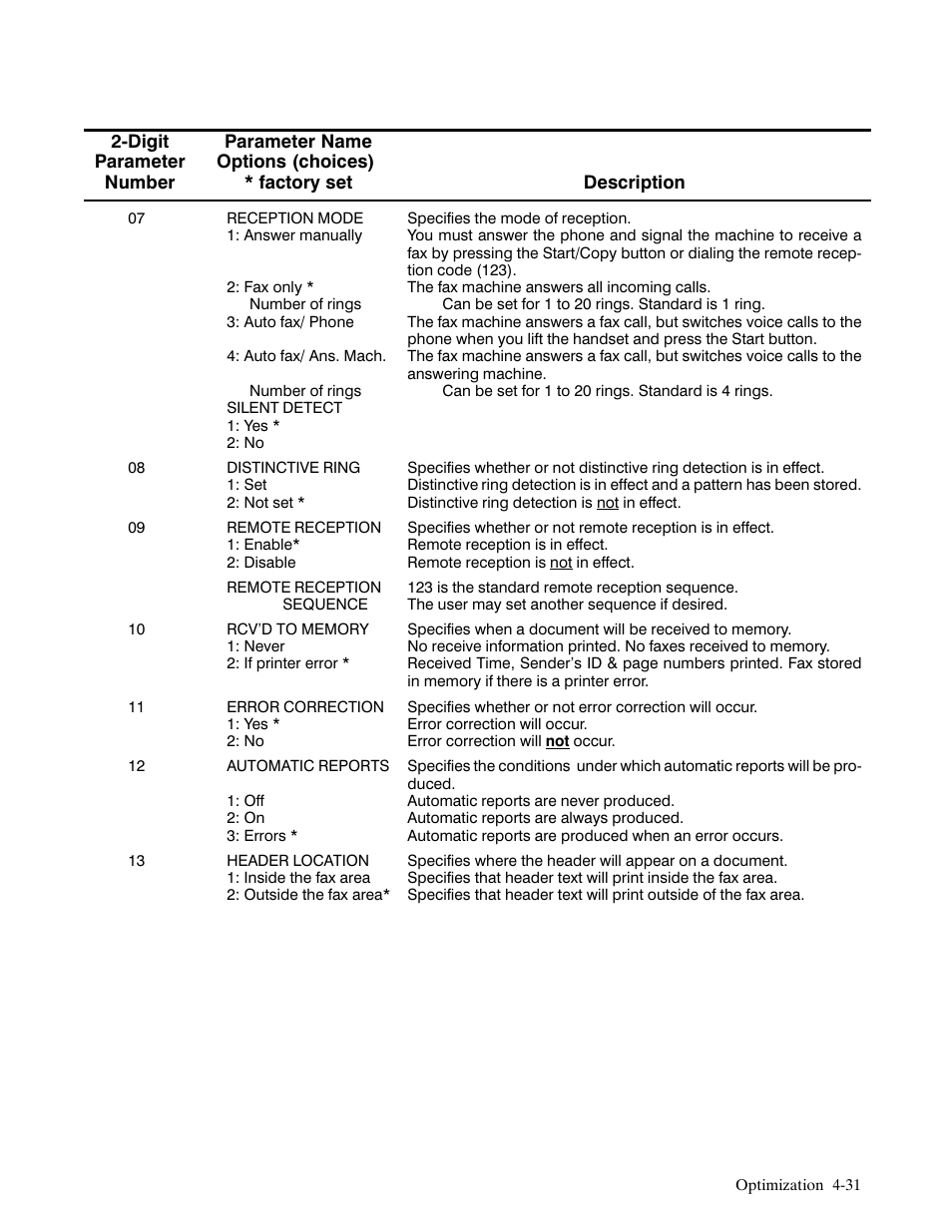
Page 165

  • Text mode
  • Original mode
HP FACSIMILE MACHINE HP FAX-700 User Manual | Page 165 / 292 HP FACSIMILE MACHINE HP FAX-700 User Manual | Page 165 / 292
Pages: 1 … 163 164 165 166 167 … 292
  • wrong Brand
  • wrong Model
  • non readable
This manual is related to the following products:
  • FACSIMILE MACHINE HP FAX-750 FACSIMILE MACHINE HP FAX-950 FACSIMILE MACHINE HP FAX-900
See also other documents in the category HP Faxes:
  • 820 RF (1 page)
  • SERIES 1230 (88 pages)
  • FAX-950 (292 pages)
  • LASERJET 300 (148 pages)
  • 3100 (97 pages)
  • C6734A (58 pages)
  • 1050 (94 pages)
  • 3100C (88 pages)
  • 2140 (70 pages)
  • 1020 (2 pages)
  • CapShare 920 (2 pages)
  • 600 (86 pages)
  • 403349-003 (146 pages)
  • 750 (288 pages)
  • 700 (222 pages)
  • Fax 1200 Series (2 pages)
Home Brands Popular manuals Recently added
Manuals Directory

© 2012–2025, azmanual.top
All rights reserved.