Search
Directory
Brands
Carrier manuals
Water equipment
16DF013-050
Manual
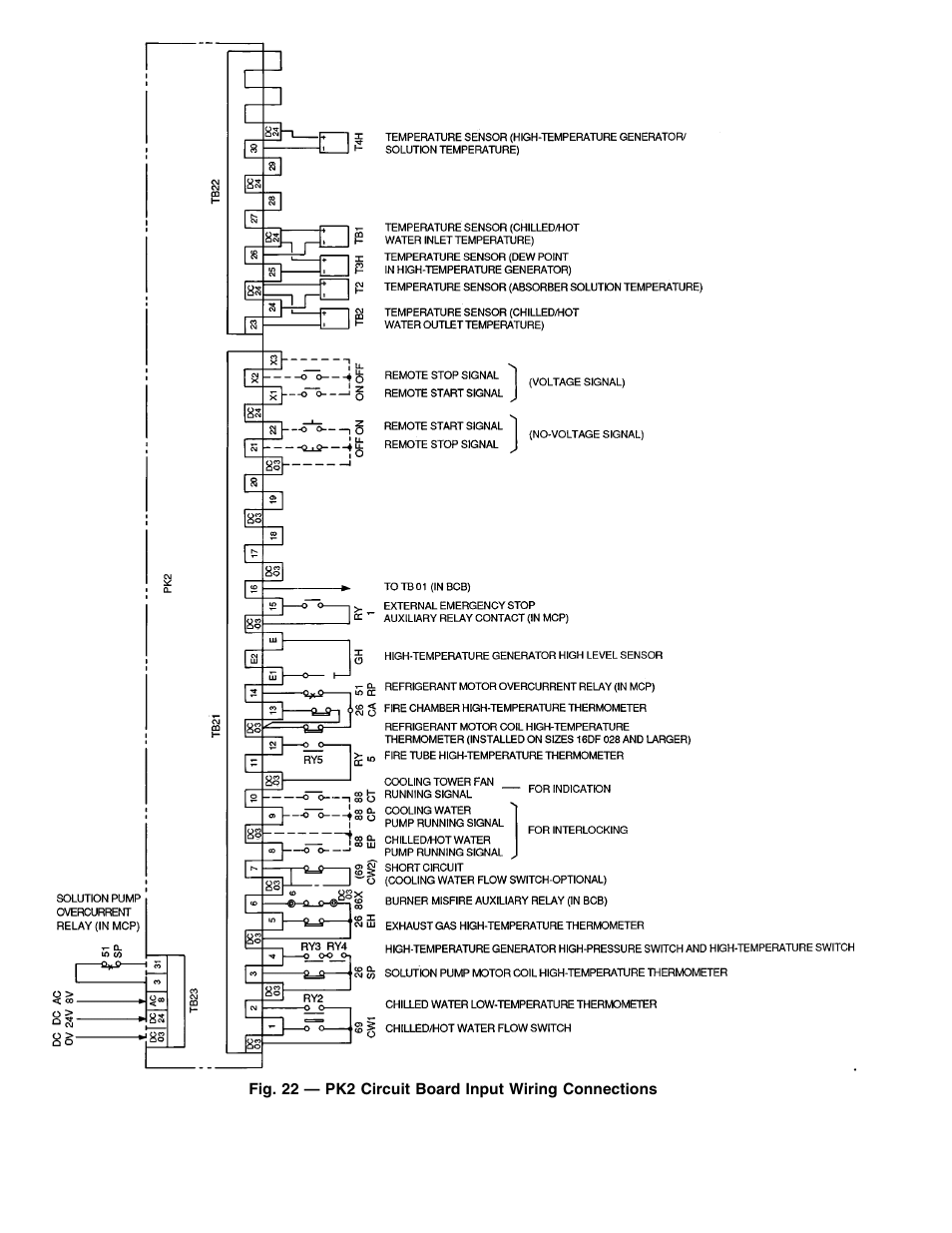
Carrier 16DF013-050 User Manual
Page 24
Text mode
Original mode
Carrier 16DF013-050 User Manual | Page 24 / 56
Pages:
1
…
22
23
24
25
26
…
56
wrong Brand
wrong Model
non readable
See also other documents in the category Carrier Water equipment:
CVL185G
(8 pages)
07KA
(4 pages)
30XW325-400
(32 pages)
EVERGREEN 23XRV
(32 pages)
30HXA,HXC076-186 Water-Cooled and Condenserless Chillers
(28 pages)