Directory
Brands
GE manuals
Hardware
GFK-2489
Manual

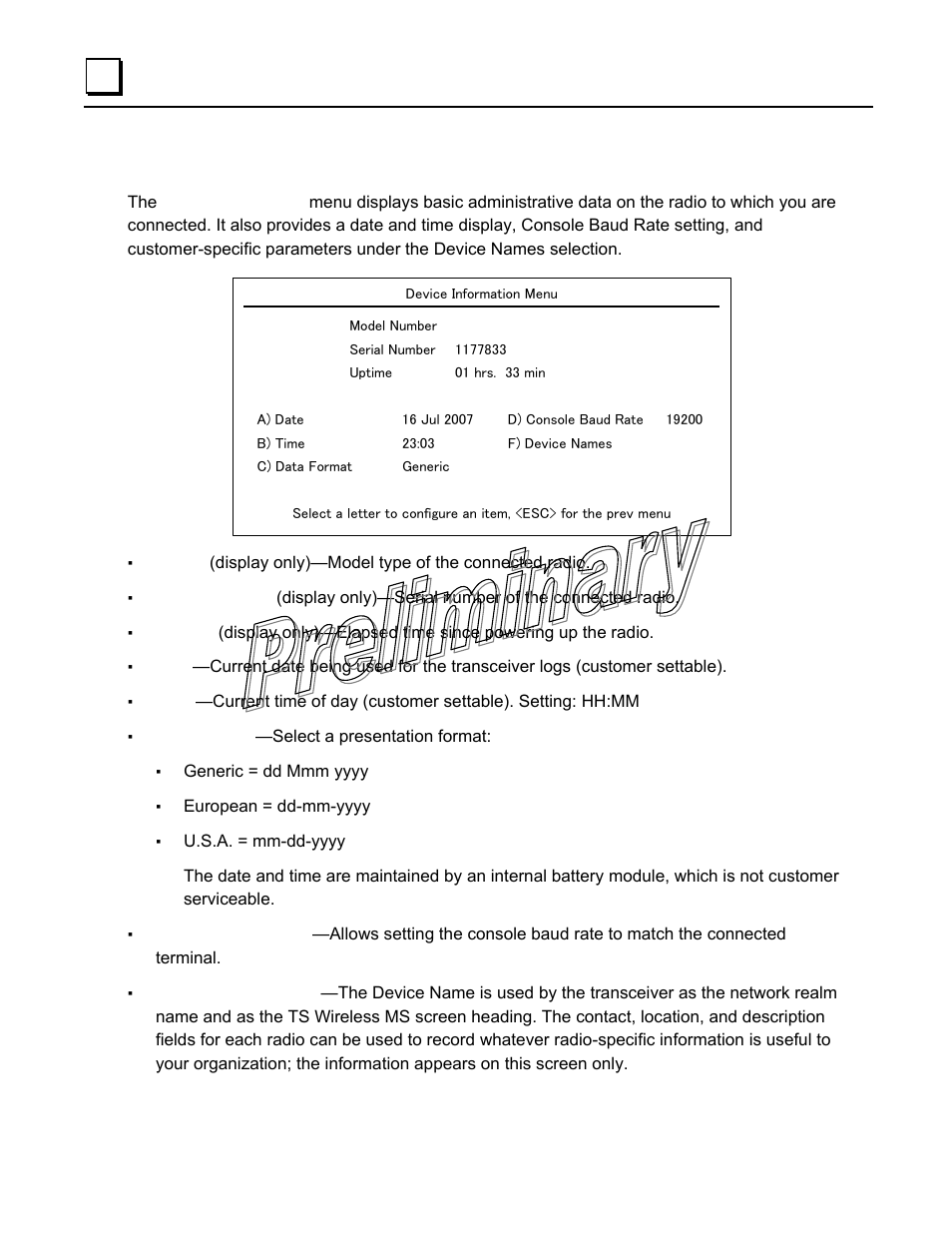
Device information menu – GE GFK-2489 User Manual

Page 83

  • Text mode
  • Original mode
Device information menu | GE GFK-2489 User Manual | Page 83 / 184 Device information menu | GE GFK-2489 User Manual | Page 83 / 184
Pages: 1 … 81 82 83 84 85 … 184
  • wrong Brand
  • wrong Model
  • non readable
See also other documents in the category GE Hardware:
  • DEH-210 (220 pages)
  • GFK-2193A (30 pages)
  • GEH6505A (24 pages)
  • ZBD6600 (16 pages)
  • PMCS 6.11a (304 pages)
  • P485 (76 pages)
  • JGBS23CEL (2 pages)
  • PDW8600 (12 pages)
  • ZET2 (16 pages)
  • JGP970TEK (2 pages)
  • GFK-1852 (73 pages)
  • ZBD6600 (32 pages)
  • PB3-POS-RP (48 pages)
  • 23954 (58 pages)
  • JGBP30BEH (2 pages)
  • 27959 (100 pages)
  • GXSV65R (48 pages)
  • A8950CC (52 pages)
  • PROFILE ADVANTIUM PSB1200NBB/WW (3 pages)
  • MDS 05-4558A01 (20 pages)
  • PROFILE JP989CH (2 pages)
  • ZET1 (44 pages)
  • EX2100 (118 pages)
  • GFK-0726B (27 pages)
  • 2250D (4 pages)
  • GEFanuc Automation Programmable Control Products TCP/IP Ethernet Communications for the Series 90t-70 PLC GFK-1004B (268 pages)
  • GFK-1541B (240 pages)
  • HC HP (114 pages)
  • FPC 1000 (39 pages)
  • 97847 - pink (26 pages)
Home Brands Popular manuals Recently added
Manuals Directory

© 2012–2025, azmanual.top
All rights reserved.