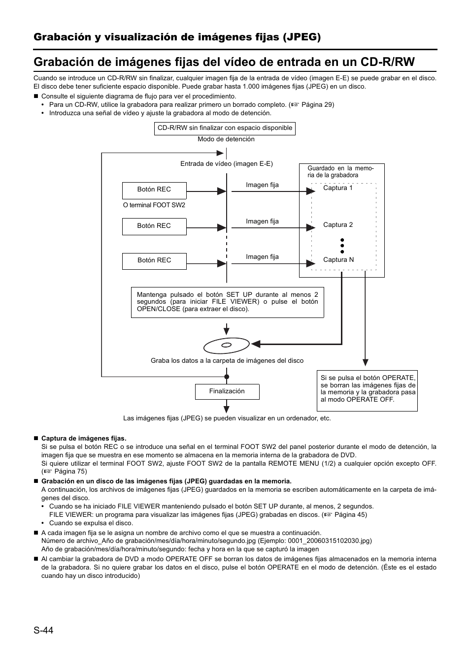
Grabación y visualización de imágenes fijas (jpeg) – JVC BD-X201MS User Manual
Page 293
See also other documents in the category JVC DVD-players:
- XV-N652S (28 pages)
- XV-NA77SL (54 pages)
- HR-XV1EU (64 pages)
- XV-S300BK (54 pages)
- XV-N55SL (75 pages)
- XV-NP1SL (40 pages)
- XV-N412S (38 pages)
- XV-N33SL (35 pages)
- XV-N35SL (34 pages)
- XV-N342 (2 pages)
- XV-N422SE (2 pages)
- DR-MV5SE (100 pages)
- DR-MH300SEK (116 pages)
- HR-XVC40B (37 pages)
- TV 20240 (36 pages)
- HR-XVS44UJ (92 pages)
- CU-VD20AC (9 pages)
- XV-501BK (104 pages)
- TV-20F243 (60 pages)
- DR-MV150B (6 pages)
- HR-XV48EK (72 pages)
- XV-K503TN (109 pages)
- GNT0013-014A (60 pages)
- XV-N512S (47 pages)
- xv-thm45 (68 pages)
- XV-SA70BK (75 pages)
- LYT1221-001A (64 pages)
- XV-N370B (97 pages)
- XV-C3SL (177 pages)
- BR-DV3000 (72 pages)
- XV-521 (1 page)
- HR-XVC18BUS (42 pages)
- BD-X201M (45 pages)
- XV-N22S (36 pages)
- LD-HD2KU (20 pages)
- XV-FA92SL (74 pages)
- HR-XVC15U (64 pages)
- XV-LTR1 (50 pages)
- DR-MV2SEU (76 pages)
- XV-N422 (2 pages)
- CU-VD20AA (136 pages)
- DR-MH220SE (58 pages)
- 2B00401C (60 pages)
- LPT0822-001A (41 pages)
- HR-XV45SEK (43 pages)
