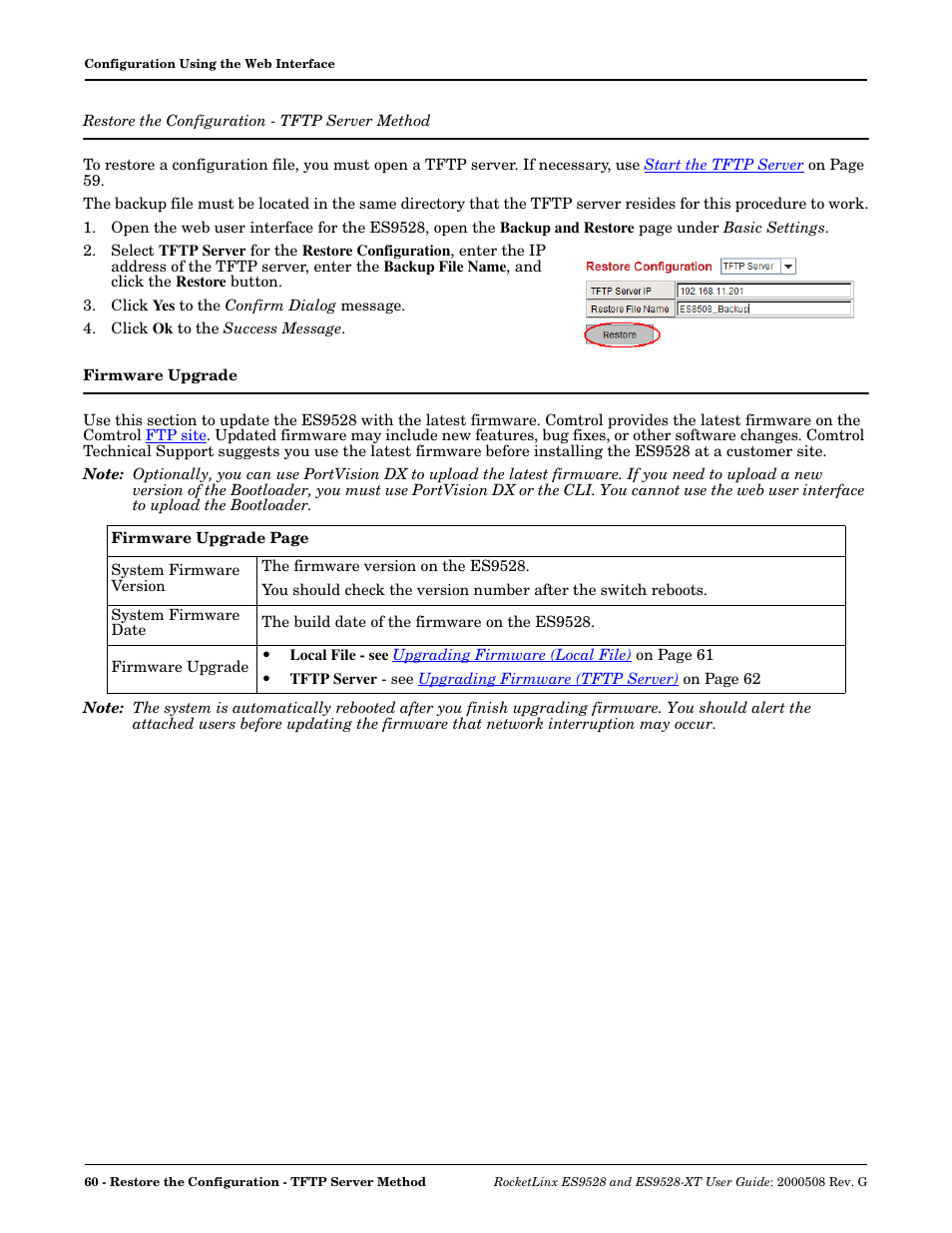
Restore the configuration - tftp server method, Firmware upgrade, Restore the configuration – Comtrol ES9528-XT User Guide User Manual
Page 60: Tftp server method
This manual is related to the following products:
See also other documents in the category Comtrol Accessories communication:
- FreeWire (54 pages)
- DeviceMaster LT (136 pages)
- PortVision DX (155 pages)
- eCos (814 pages)
- PRO DeviceMaster (178 pages)
- PRO DeviceMaster Rackmount Shelf Kit (3 pages)
- UP DeviceMaster User Guide (166 pages)
- UP DeviceMaster Quick Start (36 pages)
- UP DeviceMaster Installation (86 pages)
- Modbus TCP Quick Start (78 pages)
- Modbus TCP User Guide (112 pages)
- PROFINET IO (18 pages)
- UP DeviceMaster Filtering and Data Extraction (26 pages)
- 500 DeviceMaster (72 pages)
- SICK LMS (12 pages)
- IOLM 4-EIP (62 pages)
- IO-Link Master EIP-4 (114 pages)
- IOLM Modbus TCP (28 pages)
- ES7110 (14 pages)
- ES7506 (158 pages)
- ES7510 (202 pages)
- ES7510-XT (215 pages)
- ES7528 (224 pages)
- ES8105 (6 pages)
- ES8508 Series Quick Start (8 pages)
- ES8508 Series User Guide (212 pages)
- RocketLinx VLAN Web (5 pages)
- ES8509-XT (210 pages)
- ES8510 (204 pages)
- ES8510-XTE (206 pages)
- ES9528 Quick Start (8 pages)
- MC5001 (8 pages)
- MC7001 (6 pages)
- RocketPort EXPRESS (36 pages)
- RocketPort EXPRESS SMPTE (28 pages)
- RocketPort INFINITY (32 pages)
- RocketPort Universal PCI (32 pages)
- Cable (38 pages)
- RocketPort Plus 422 Universal PCI (26 pages)
- RocketPort Plus Universal PCI (30 pages)
- VS3000U (44 pages)
- VS2000 V.34 (4 pages)
- VS1000 Configuration Guide (38 pages)
- VS1000 Installation Reference Card (13 pages)
