Directory
Brands
Ask Proxima manuals
Projectors
Ultralight LX
Manual

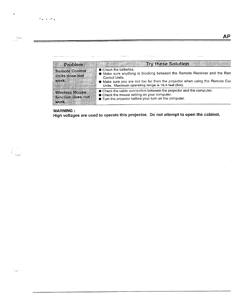
Ap problem: try these solution – Ask Proxima Ultralight LX User Manual

Page 37

  • Text mode
  • Original mode
Ap problem: try these solution | Ask Proxima Ultralight LX User Manual | Page 37 / 40 Ap problem: try these solution | Ask Proxima Ultralight LX User Manual | Page 37 / 40
Pages: 1 … 35 36 37 38 39 40
  • wrong Brand
  • wrong Model
  • non readable
See also other documents in the category Ask Proxima Projectors:
  • Ultralight LS2 (1 page)
  • C130 (50 pages)
  • DP2000s (2 pages)
  • DP2800 (83 pages)
  • IN42 (49 pages)
  • DP6810 (1 page)
  • ASK M3 (32 pages)
  • DP9240 (1 page)
  • DP6105 (2 pages)
  • C410/C420 (50 pages)
  • + DP6850 (1 page)
  • DP6150 (1 page)
  • C420 (DP8200X) (1 page)
  • C90 (11 pages)
  • DP2300 (71 pages)
  • 700 (29 pages)
  • C440 (13 pages)
  • M5 (1 page)
  • Pro AV 9410 (2 pages)
  • Pro AV 9310 (2 pages)
  • Ultralight SV1 (19 pages)
  • DP5610 (1 page)
  • C105 (DP6155) (1 page)
  • DP9250 (52 pages)
  • Campus 300 (2 pages)
  • Pro AV 9350 (2 pages)
  • C300HB (3 pages)
  • DP6100 (4 pages)
  • DP5600 (45 pages)
  • Pro AV 9300 (2 pages)
  • DP9260 (1 page)
  • C5 (1 page)
  • DP5800 (5 pages)
  • 9100 (103 pages)
  • C40 (DP2000s) (3 pages)
  • C420 (1 page)
  • C1 (1 page)
  • 21 (1 page)
  • C160 (1 page)
  • Ultralight DS2 (1 page)
  • Impression 860 (46 pages)
  • C440/C450 (61 pages)
  • Ultralight LS1 (49 pages)
  • A9+ (8 pages)
  • Pro AV 9310L (49 pages)
Home Brands Popular manuals Recently added
Manuals Directory

© 2012–2025, azmanual.top
All rights reserved.