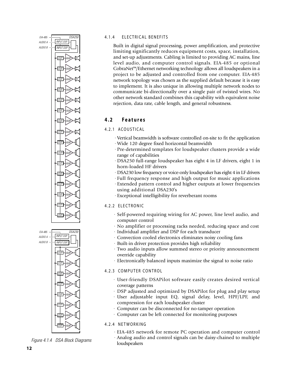
Figure 4.1.4 dsa block diagrams – EAW DSA250 & DSA230 User Manual
Page 12
See also other documents in the category EAW Microphones:
- SB150zP (4 pages)
- MK5326 (2 pages)
- DCS2 (2 pages)
- KF930 (2 pages)
- MK8196 (2 pages)
- CIS65 (8 pages)
- DSA230 & DSA250 (2 pages)
- JF60z (6 pages)
- CR72 (2 pages)
- MQTD812 (2 pages)
- CB153X (2 pages)
- SMS4 (8 pages)
- FR159z 2D (1 page)
- CB259 (2 pages)
- DC2 (2 pages)
- SB1000zP (4 pages)
- 425017 (8 pages)
- SB150zR (4 pages)
- DCT2 (2 pages)
- DC4 (2 pages)
- MK5394 (2 pages)
- MQH1346e (2 pages)
- D S A 2 5 0 (44 pages)
- MQ1394e (2 pages)
- DCT1 (2 pages)
- KF650z 2D (1 page)
- Dual 12-Inch Horn Subwoofer KF940 (4 pages)
- UB22z (6 pages)
- MQ1215 (2 pages)
- SB180zP (4 pages)
- Ceiling-Mount System CP621 (6 pages)
- SB185C (2 pages)
- SB528zP (1 page)
- ASR695e (1 page)
- BH822e (2 pages)
- SB528zR (4 pages)
- KF920 (2 pages)
- MK8126 (2 pages)
- MK5366 (2 pages)
- SB48zP (4 pages)
- SB625zP (4 pages)
- SB180zR (4 pages)
- SB750zF (4 pages)
- SBX220 (2 pages)
- CR58 (2 pages)
