Search
Directory
Brands
Research Concepts manuals
Accessories communication
RC2500
Manual
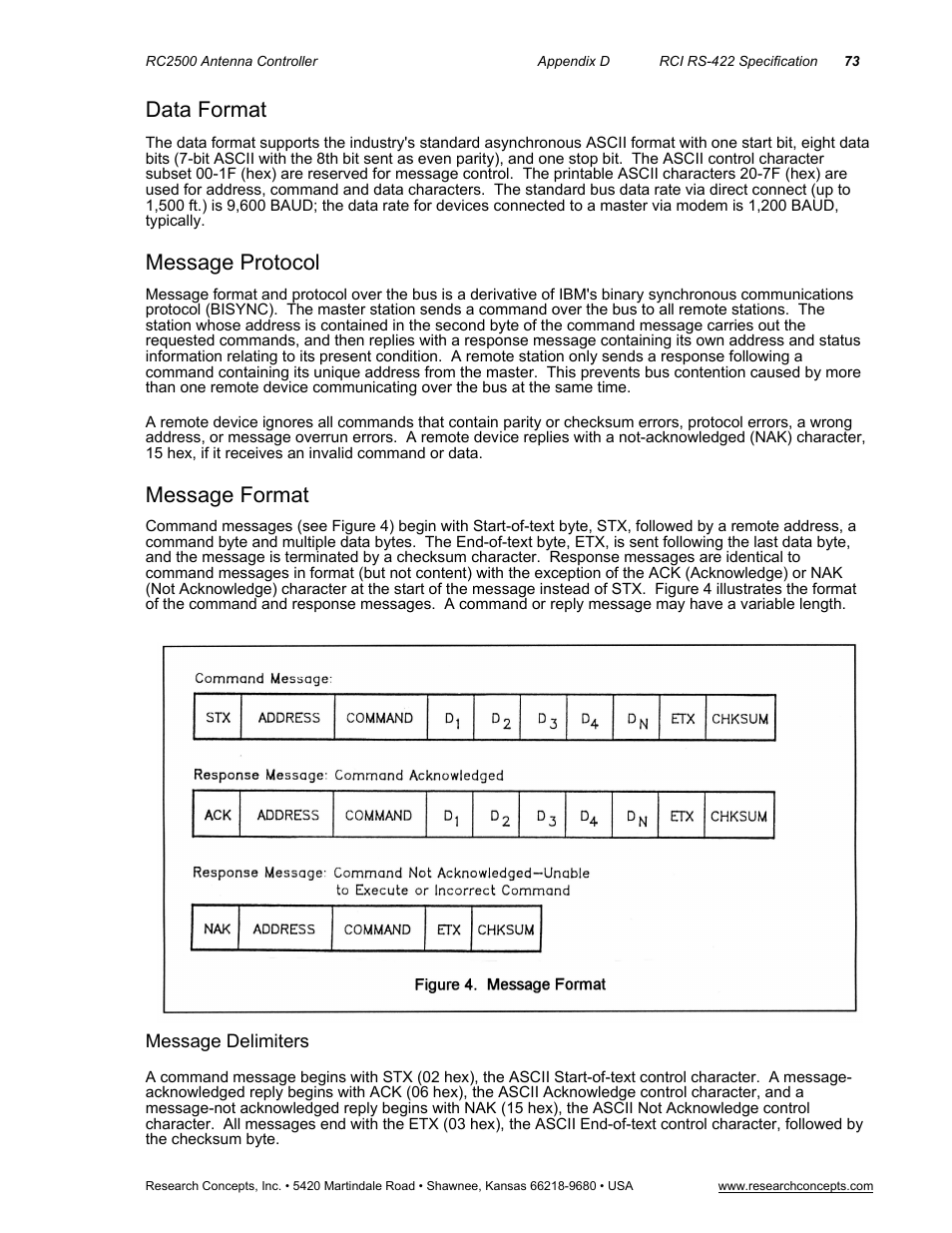
Data format, Message protocol, Message format – Research Concepts RC2500 User Manual
Page 80: Message delimiters
Text mode
Original mode
Data format, Message protocol, Message format | Message delimiters | Research Concepts RC2500 User Manual | Page 80 / 181
Pages:
1
…
78
79
80
81
82
…
181
wrong Brand
wrong Model
non readable
See also other documents in the category Research Concepts Accessories communication:
RC1000
(50 pages)
RC2000A
(121 pages)
RC1500
(41 pages)
RC2000C
(123 pages)
RC300
(35 pages)
RC3000
(175 pages)
RC4000
(151 pages)