EVCO c-pro nano CHIL User Manual
Page 129

C-PRO NANO CHIL AND C-PRO MICRO CHIL – APPLICATION MANUAL
Pag. 129
This control can only be enabled in summer operating mode (chiller).
6.17.8
Low-pressure partialisation at low temperatures (heat pump)
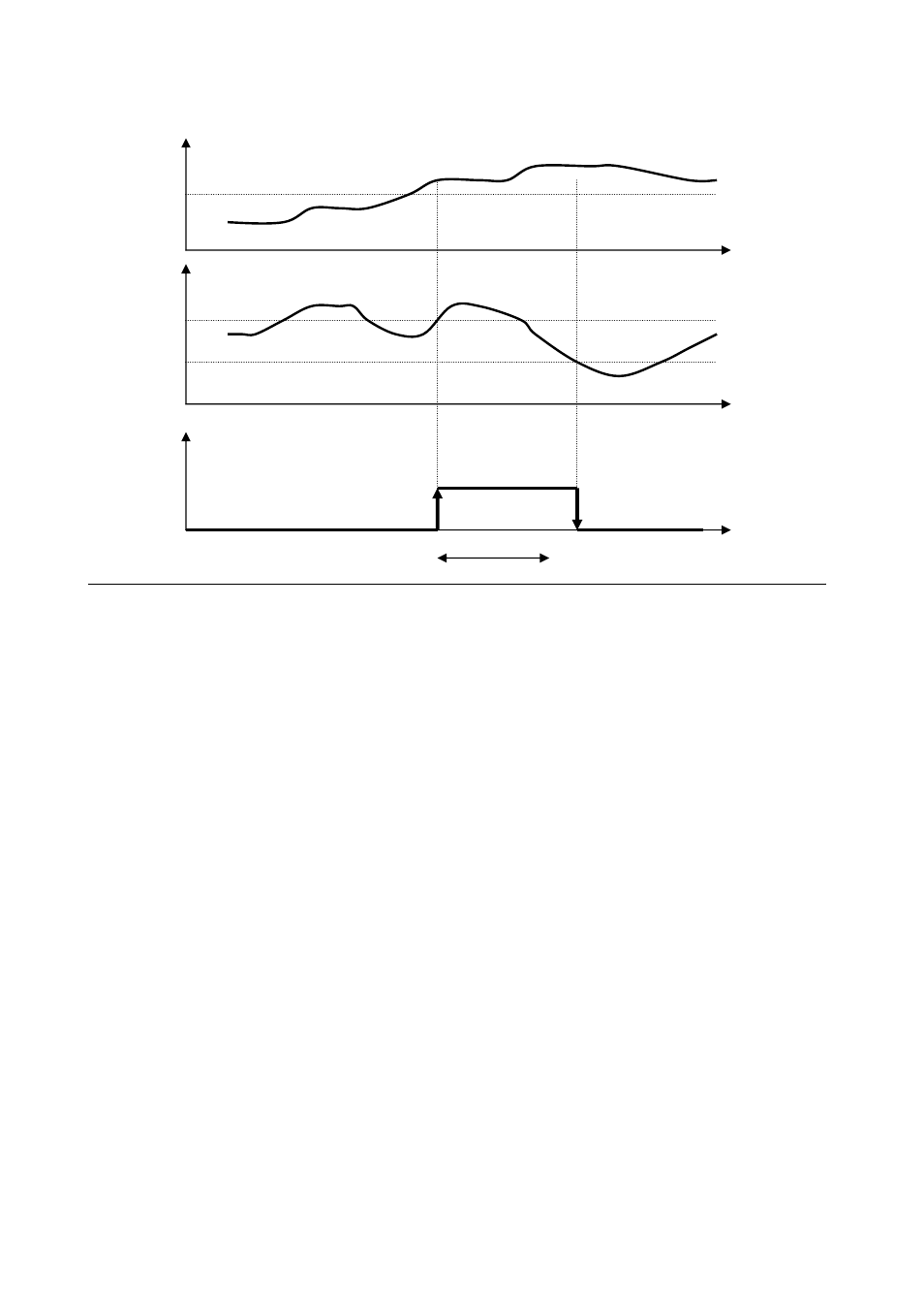
This control makes it possible to partialise the refrigerating circuit power when external temperature
and refrigerated water temperature conditions lead to the triggering of minimum-pressure alarms. If
fewer than 15 minutes have elapsed since the triggering of a minimum-pressure alarm and pressure
falls below a given threshold, circuit active-power partialisation is forced, until the pressure climbs
back over the threshold by a certain differential.
-
PC50 =Pressure partialisation enable at low temperatures
-
PC51 =Pressure partialisation set point at low temperatures
-
PC52 = Pressure partialisation differential at low temperatures
-
PC53 = Low external air temperature threshold
-
PC54 = Refrigerated-water high-temperature threshold
According to the number of configured compressors, the power-limiting percentage is calculated on
the basis of this parameter:
-
PC32 = Power limiting for winter operation
In order to enable this control, the external temperature probe (PH24) must also be enabled.
Ext. air
T
Pressure
Thresh.
Set
poi
Set-Diff
HPHT
PC49
