EVCO c-pro nano CHIL User Manual
Page 106

C-PRO NANO CHIL AND C-PRO MICRO CHIL – APPLICATION MANUAL
Pag. 106
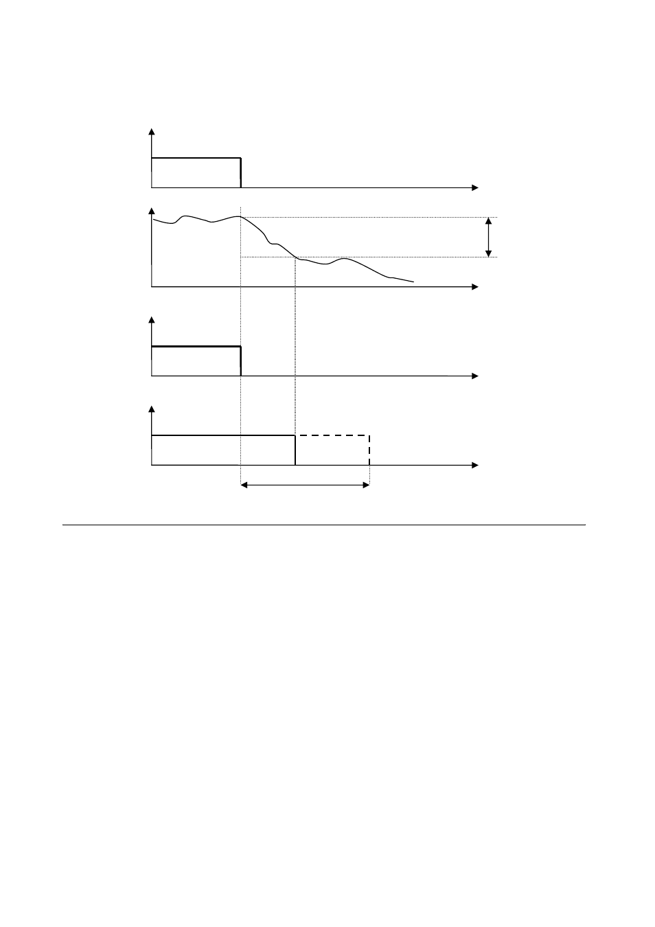
pressure value is stored, the fluid solenoid valve is disabled, and, once the evaporation pressure
value has fallen by the Pump-down pressure differential PC43, the compressor is switched OFF.
Anyway, there is always the Compressor switch-OFF delay in pump-down, should the switch-OFF
pressure threshold not be reached, or should evaporation probes be faulty.
In order to enable this function, the following parameters must be set:
-
PC41 = 2: Function enable
-
PC42: Pump-down time
-
PC43: Pump-down differential
-
HA07: Position of solenoid valve digital output, Circuit # 1
-
HA08: Position of solenoid valve digital output, Circuit # 2
-
PH44 = 4: Enabling of evaporation probe, Circuit # 1
-
PH45 = 2: Enabling of evaporation probe, Circuit # 2
Note: In case of alarm, the system must ignore the compressor shutdown delay.
6.6.5
Protection timings
There now follows a list of all timings connected with the management of compressors.
Protection timings
The purpose of these timings is that of protecting mechanical units from the various start-up stresses
to which they are subjected.
Last
compressor
request
Evap. P
Solenoid
valve
Compressor
PC43
Pump-down
pressure
differential
PC42 Pump-down disable delay
t
t
t
t
