Figure 7, Representation of the scan of the pure eluent (b) – Metrohm 871 Advanced Bioscan User Manual
Page 28

3 Basic principles
871 Advanced Bioscan / Instructions for Use 8.871.1003
20
worry about contamination of your IC system you can still inject the
substance into the eluent using a large sample loop (> 500 µL). The
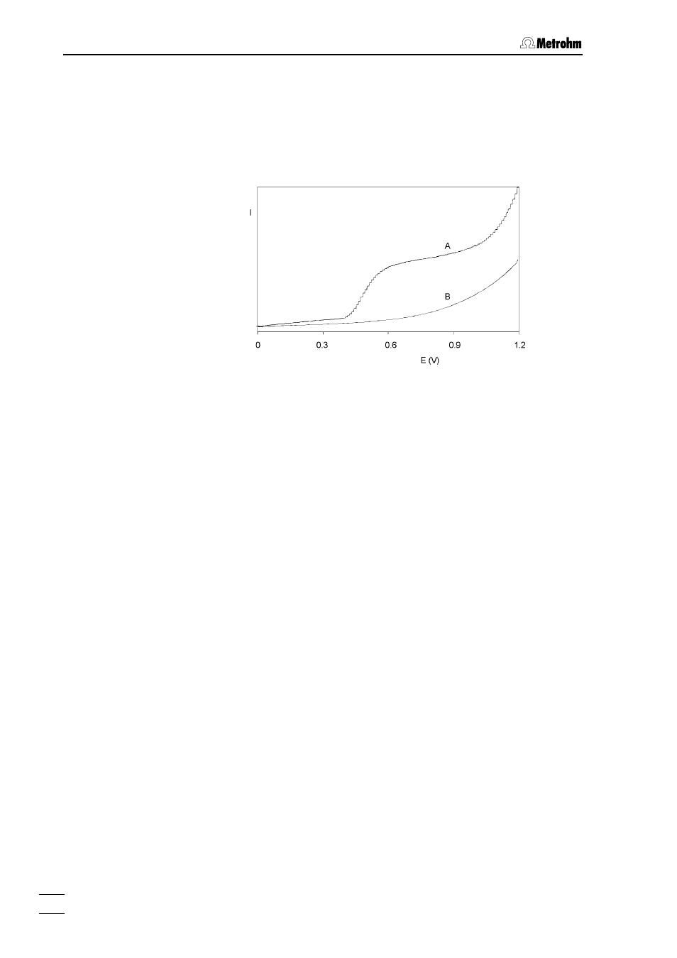
mple of a scan:
eluent should then be pumped at a very low flow rate (e.g. 0.2 mL/min).
Generally, same conditions should be used as they are needed for the
chromatographic separation (e.g. temperature, pH, eluent etc.).
Figure 7 s
Figure 7:
an interfering
be preferred in such cases.
nd the advan-
Example of a scan of a substance (A) with the additional repre-
sentation of the scan of the pure eluent (B)
When using metal electrodes as the working electrode, such as the
gold electrode used here, the reaction products formed by the am-
perometric detection during the scan method can form
layer on the electrode surface and influence the results. For this reason
a hydrodynamic voltammogram is to
The following table summarizes the requirements for a
tages and disadvantages of these two methods.
- 915 KF Ti-Touch (382 pages)
- 800 Dosino (53 pages)
- 767 Calibrated Reference (23 pages)
- 940 Professional IC Vario ONE/SeS/Prep 2 (54 pages)
- 754 Dialysis Unit (49 pages)
- 815 Robotic Soliprep for LC (76 pages)
- Vision Manual (207 pages)
- tiamo 2.1 Manual (1532 pages)
- 825 Lab Link (37 pages)
- 808 Titrando (70 pages)
- 902 Titrando (52 pages)
- 756 KF Coulometer (163 pages)
- 756 KF Coulometer (162 pages)
- 940 Professional IC Vario ONE/LPG (98 pages)
- 850 Professional IC Anion MCS Prep 3 (154 pages)
- 850 Professional IC Anion MCS Prep 3 (152 pages)
- 904 Titrando (58 pages)
- 850 Professional IC Anion MSM-HC MCS Prep 2 (150 pages)
- 930 Compact IC Flex Oven/ChS/Deg (47 pages)
- 872 Extension Module Liquid handling (64 pages)
- 814 USB Sample Processor (90 pages)
- 814 USB Sample Processor (91 pages)
- 940 Professional IC Vario (43 pages)
- Vision – Tutorial (40 pages)
- 799 GPT Titrino (242 pages)
- 889 IC Sample Center (68 pages)
- 761 Compact IC (228 pages)
- 851 Titrando (100 pages)
- 748 DH Sample Changer (32 pages)
- 940 Professional IC Vario ONE/SeS/HPG (51 pages)
- 896 Professional Detector – Amperometry (62 pages)
- 877 Titrino plus (139 pages)
- 881 Compact IC pro – Anion (129 pages)
- 940 Professional IC Vario ONE/ChS/HPG (112 pages)
- 930 Compact IC Flex Deg (41 pages)
- 840 PC Control 5.0 / Touch Control (351 pages)
- 940 Professional IC Vario ONE/Prep 1 (45 pages)
- 776 Dosimat (42 pages)
- 717 Sample Changer (36 pages)
- 815 Robotic USB Sample Processor XL (113 pages)
- 815 Robotic USB Sample Processor XL (114 pages)
- 940 Professional IC Vario ONE/SeS/PP (126 pages)
- 838 Advanced Sample Processor Installation Instructions (109 pages)
- 700 Dosino (55 pages)
- 719 S Titrino (152 pages)