Doepfer, System a-100, Bbd module a-188-2 – Doepfer A-188-2 Tapped BBD Module User Manual
Page 10: Controls and in- / outputs

DOEPFER
System A-100
BBD Module A-188-2
10
4. Controls and In- / Outputs
4.1. High Speed VCO Section
3
Delay :
manual delay/clock control
!
CV1:
CV1 input HSVCO
"
CV2:
CV2 input HSVCO
4
CV2:
attenuator for CV2
§
Clk Out:
clock output HSVCO
=
CV Out:
CV output HSVCO
This group of elements is responsible for the clock
frequency generated by the high speed VCO (HSVCO).
knob 3 Delay Clock is used to adjust the clock manually.
Two CV inputs (! CV1, " CV2) are available to control the
clock by external control voltages (e.g. LFO, envelope
follower, random, ADSR, keyboard CV, sequencer,
theremin, ribbon controller, foot controller, Midi-to-CV,
shepard generator ...). The sensitivity of CV1 is
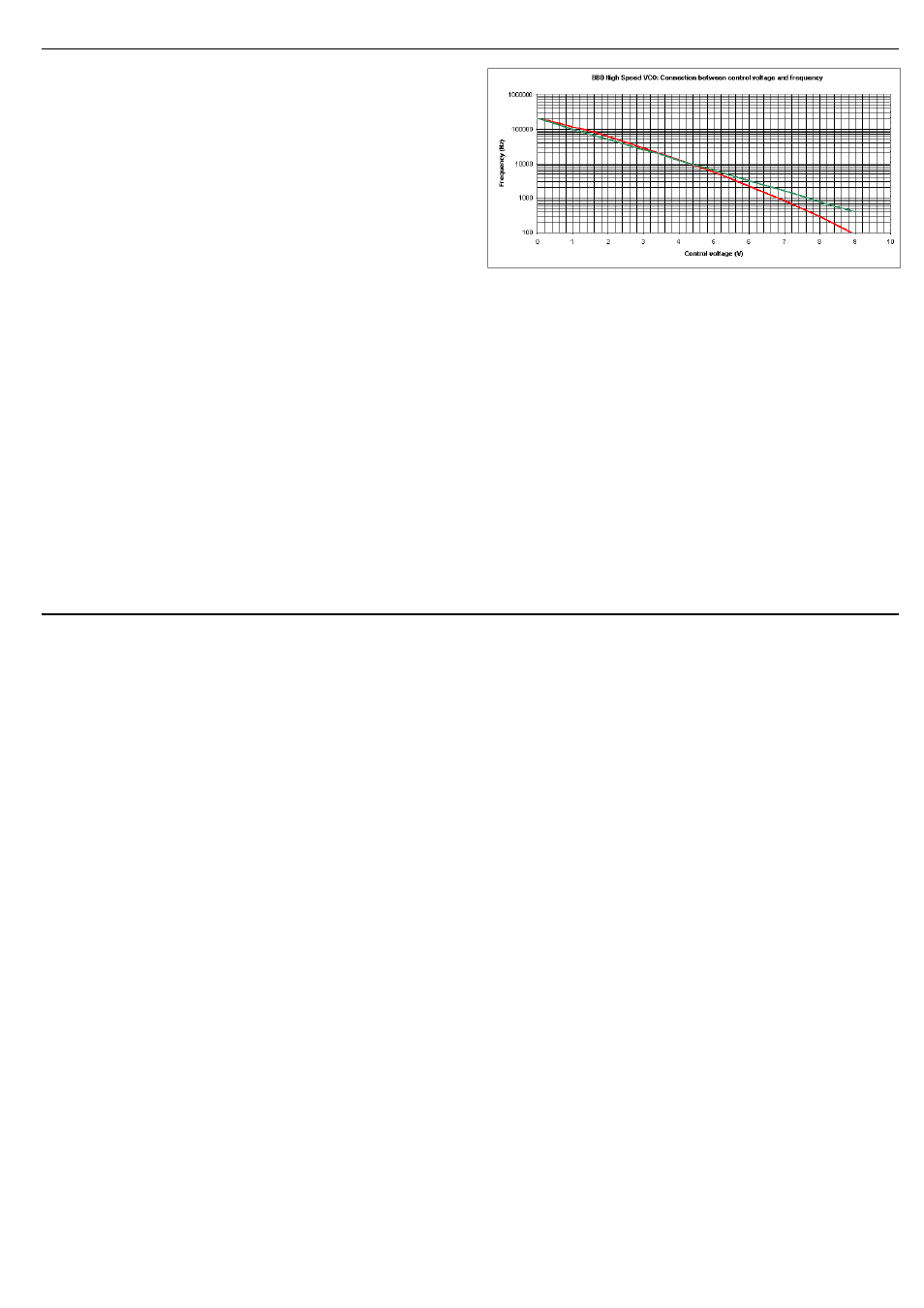
approximately 1V/octave. The diagram on the right side
shows the connection between CV1 and clock frequency.
The straight line represents the perfect 1V/oct graph. The
slightly bended curve is the real behaviour of the HSVCO. If
an absolutely "perfect" 1V/octave control is required an
external precision HSVCO or a VCO with PLL has to be
used.
The second control voltage input " CV2 is equipped with a
polarizer. The function of a polarizer is described on page 5.
Fig 6: relation between CV1 and Clock Frequency
§
Clk Out:
clock output HSVCO
This is the clock output of the HSVCO. It is internally
connected to the clock input of the BBD section. The
waveform is rectangle with about
± 3V level. The rectangle
slopes flatten with increasing frequency and the waveform
turns more and more into triangle. Even the load on the
output has influence to the waveform and level.
Consequently for all clock patches from and to the A-188-2
only short patch cables (~ 30 cm) should be used because
long cables function as low pass filters for signals above
20kHz. The max. frequency at this output is about 250 kHz.
