Directory
Brands
Connect Tech manuals
Hardware
Blue Heat/PCI PCI Serial Communications
Manual

Connect Tech Blue Heat/PCI PCI Serial Communications User Manual

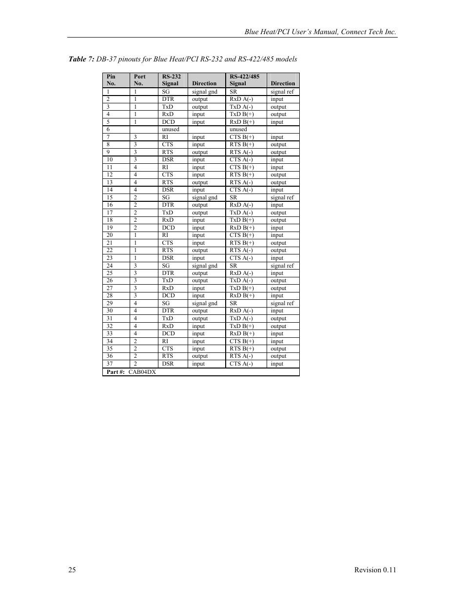
Page 25

  • Text mode
  • Original mode
Connect Tech Blue Heat/PCI PCI Serial Communications User Manual | Page 25 / 47 Connect Tech Blue Heat/PCI PCI Serial Communications User Manual | Page 25 / 47
Pages: 1 … 23 24 25 26 27 … 47
  • wrong Brand
  • wrong Model
  • non readable
See also other documents in the category Connect Tech Hardware:
  • JB0 (36 pages)
  • PCIE/104 (27 pages)
  • SSD/104 (12 pages)
  • 104 (26 pages)
  • 104 (9 pages)
  • PCI-104 (39 pages)
  • CANpro/104-Plus (22 pages)
  • Titan/cPCI (34 pages)
  • BLUESTORM UNIVERSAL PCI CTIM-00015 (25 pages)
  • CTIM-00060 (25 pages)
  • CTIM-00054 (10 pages)
  • BlueStorm Multi-port Serial Adapter (15 pages)
  • DFlex-4/104 (82 pages)
Home Brands Popular manuals Recently added
Manuals Directory

© 2012–2025, azmanual.top
All rights reserved.