Calibrazione del sensore, Informazioni sulla calibrazione del sensore, Limiti di calibrazione – Hach-Lange POLYMETRON 9500 Conductivity Module User Manual User Manual
Page 53: Costante cella, Procedura di calibrazione dello zero

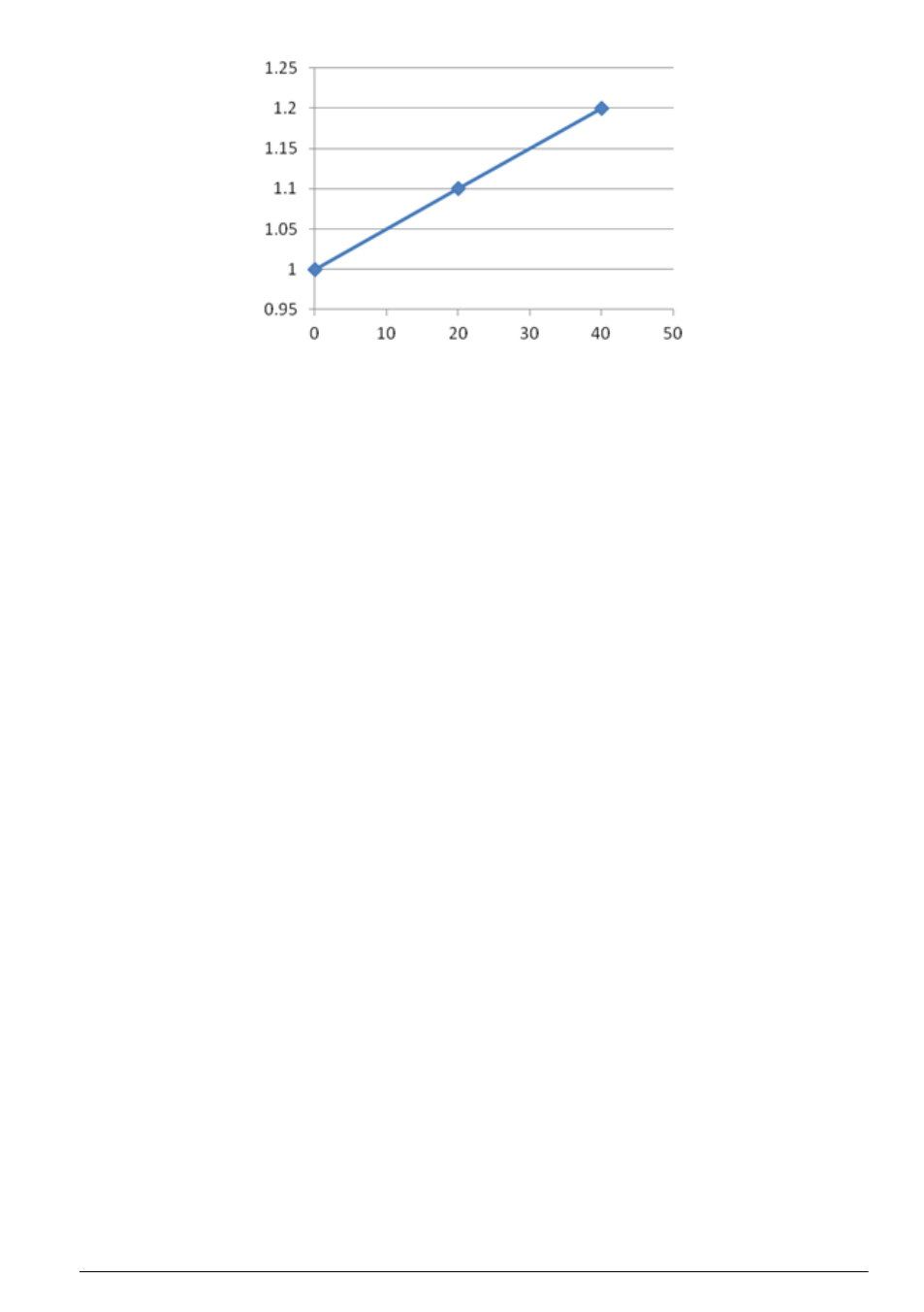
Il grafico mostra che una temperatura di 10° corrisponde a un fattore di 1.05. Quindi, un valore di
conducibilità non compensato di 10 mZ/cm a 10° produrrà un valore compensato di temperatura di
10.5 mS/cm (ossia, 10 mS/cm moltiplicato per un fattore di 1.05).
Calibrazione del sensore
Informazioni sulla calibrazione del sensore
Nel corso del tempo, le caratteristiche del sensore cambiano e ne compromettono la precisione. Il
sensore deve essere calibrato regolarmente per garantirne la precisione. La frequenza di
calibrazione varia in base all'applicazione ed è determinata dall'esperienza.
Sensori di conducibilità di contatto: Utilizzare l'aria (calibrazione zero) e il campione di processo
per definire la curva di calibrazione. Quando si utilizza il campione di processo, il valore di riferimento
deve essere determinato avvalendosi di uno strumento di verifica certificato.
Sensori di conducibilità induttiva: Utilizzare l'aria (calibrazione zero) e una soluzione di riferimento
o un campione di processo per definire la curva di calibrazione. Per una maggiore precisione, si
raccomanda la calibrazione con soluzione di riferimento. Quando si utilizza il campione di processo,
il valore di riferimento deve essere determinato avvalendosi di uno strumento di verifica certificato.
Limiti di calibrazione
La calibrazione non si conclude correttamente se il valore è pari a ± 10% del valore target.
Costante cella
Prima di eseguira una calibrazione, verificare che i parametri della cella del sensore siano corretti.
1. Premere il tasto menu e selezionare SENSOR SETUP (Configurazione sensore) >[Selezionare
sensore]>CALIBRATE (Calibra).
2. Se è impostata una password nel menu di sicurezza per il controller, digitarla.
3. Selezionare CELL CONSTANT (Costante cella) e premere invio.
4. Sensori di conducibilità di contatto: Selezionare l'intervallo K della cella per il sensore (0,01,
0,1 o 1,0) quindi immettere il valore K riportato sull'etichetta applicata sul sensore.
Sensori di conducibilità induttivi: Immettere il valore K riportato sull'etichetta applicata sul
sensore.
Procedura di calibrazione dello zero
Utilizzare la procedura di calibrazione dello zero per definire il punto zero univoco del sensore.
1. Rimuovere il sensore dal processo. Asciugare accuratamente il sensore con un panno pulito.
2. Premere il tasto menu e selezionare SENSOR SETUP (Configurazione sensore) >[Selezionare
sensore]>CALIBRATE (Calibra).
3. Se è impostata una password per il controller nel menu sicurezza, digitarla.
4. Selezionare ZERO CAL (Calibrazione zero) e premere invio.
Italiano 53
