校准传感器, 关于传感器校准, 校准限制 – Hach-Lange POLYMETRON 9500 Conductivity Module User Manual User Manual
Page 135: 电极常数, 零点校准程序

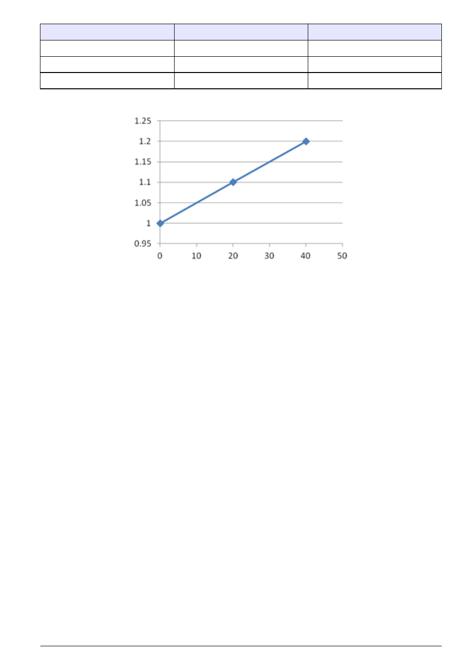
温度
值
P1
0
1
P2
20
1.1
P3
40
1.2
这个可以按照下图显示:
这表示
10°的温度和 1.05 这个因数相关。因此,在 10°时,非补偿式电导率值 10 mS 将会产生一个
10.5mS/cm 的温度补偿值(即 10 mS/cm 乘以因数 1.05)。
校准传感器
关于传感器校准
传感器特性会随着时间的推移缓慢变化,并导致传感器丧失准确性。必须定期校准传感器以保持准确
性。校准频率根据应用而有所不同,且最好根据经验确定校准频率。
接触传导传感器使用空气(零校准)和制程样本定义校准曲线。若使用制程样本,则必须通过有保证的
辅助验证仪器确定参考值。
感应传导传感器使用空气(零校准)和基准溶液或制程样本定义校准曲线。建议使用参考溶液校准,以
实现最佳的准确度。若使用制程样本,则必须通过有保证的辅助验证仪器确定参考值。
校准限制
如果数值为目标值的
± 10%,则校准失败。
电极常数
校准之前,确保传感器信元参数正确。
1. 按菜单键并选择 SENSOR SETUP(传感器设置)>[选择传感器]>CALIBRATE(校准)。
2. 如果控制器的安全菜单设有密码,则输入密码。
3. 选择 CELL CONSTANT(信元常数)并按 Enter。
4. 接触传导传感器:选择传感器的信元 K 范围(0.01、0.1 或 1.0),然后输入粘贴在传感器上的标签
上印刷的实际
K 值。
感应传导传感器:输入粘贴在传感器上的标签上印刷的实际
K 值。
零点校准程序
使用零校准程序定义传感器的唯一零点。
1. 从过程溶液中取出传感器。使用清洁的毛巾清擦,以确保传感器干燥。
2. 按菜单键并选择 SENSOR SETUP(传感器设置)>[选择传感器]>CALIBRATE(校准)。
3. 如果控制器安全菜单设有密码,则输入密码。
中文
135
- AMTAX sc (118 pages)
- PHOSPHAX sc (106 pages)
- CL17 Instruction sheet (8 pages)
- CL17 USER MANUAL (60 pages)
- CLF10 sc (382 pages)
- 9184 sc (50 pages)
- POLYMETRON 9611 sc Installation (398 pages)
- POLYMETRON 9610 sc Maintenance and Troubleshooting (286 pages)
- POLYMETRON 9611 sc USER INSTRUCTIONS: SEQUENCER LINE INSTALLATION (2 pages)
- POLYMETRON 9611 sc USER INSTRUCTIONS: SS SAMPLE CONDITIONING (4 pages)
- HACH 5500 sc Installation (408 pages)
- HACH 5500 sc Maintenance and Troubleshooting (286 pages)
- HACH 5500 sc PO43-HR Operations (390 pages)
- HACH 5500 sc PO43-LR Operations (392 pages)
- HACH 5500 sc SiO2 Installation (418 pages)
- HACH 5500 sc SiO2 Operations (394 pages)
- POLYMETRON 9610 sc SiO2 Installation (410 pages)
- POLYMETRON 9240 Basic User Manual (162 pages)
- POLYMETRON 9240 Operator Manual (144 pages)
- PHOSPHAX sigma Basic User Manual (305 pages)
- AMTAX inter2 Basic User Manual (377 pages)
- GANIMEDE P (60 pages)
- BODTrak II Basic User Manual (172 pages)
- BODTRACK II User Manual (28 pages)
- BODTRAK II: Respirometric Biochemical Oxygen Demand (BOD) (46 pages)
- SPECTRO COLOR d-8 (29 pages)
- REFO 60_REFO 60D (36 pages)
- REFO 3_REFO 3D (19 pages)
- LICO 620 Basic User Manual (329 pages)
- LICO 620 User Manual (114 pages)
- SD900 (2 pages)
- LZX971 (8 pages)
- SC Sensor Plug and SC Sensor Coupling (8 pages)
- HQ Series Portable Meters (4 pages)
- LDO Sensor Replacement Kit for use with Hach HQ10 and HQ20 (43 pages)
- LDO Sensor Replacement Kit (8 pages)
- SIP 10 (273 pages)
- SC 100 (58 pages)
- SI792 E_T Quick start guide (2 pages)
- SI792(x) E HACH GLI 3700 series SI792(x) T 7MA2200 and 8398 series User Manual (116 pages)
- SI792 D Quick start guide (2 pages)
- SI792 D, SI792x D, SI792x D-FF, SI792x D-PA User Manual (98 pages)
- SI794 C and SI794 D Short instructions (2 pages)
- SI794 D tr User Manual (108 pages)
- SI792 C Quick start guide (2 pages)
