15 user management, 1 user levels and user rights, Ee section 4.15) – Xylem photoLab 6600 UV-VIS User Manual
Page 136

Operation
photoLab
®
6600 UV-VIS
136
ba75848e01
08/2009
4.15
User management
The functions of the user management are only available for users of the user
group, Administrator.
An administrator can
z activate or deactivate the user management for the meter
z create, change or delete individual user accounts.
4.15.1
User levels and user rights
The photoLab
®
6600 UV-VIS allows the management of up to 100 users.
Every user is member of a user group with defined user rights.
User groups
There are three hierarchical user groups:
z Administrator (top level)
z User (user account registered by the administrator)
z Guest (user without user account)
Administrators and users log in to the photometer with their user name and
password. Guests can optionally enter a name for their login. Thus,
documented measured values can later be assigned to the user.
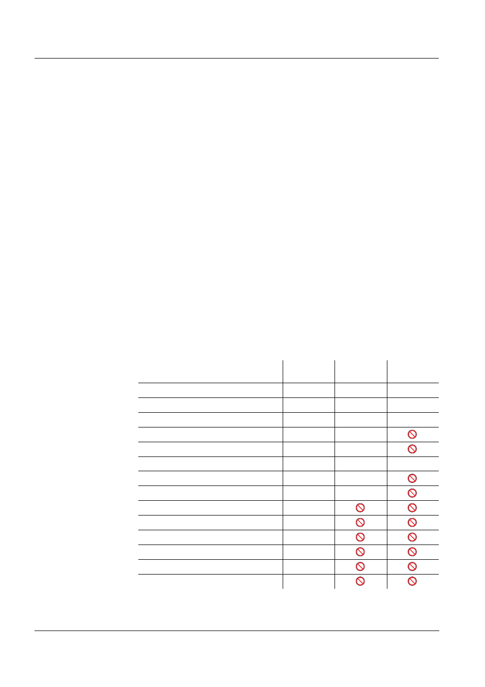
User rights in detail
Action
Adminis-
trator
User
Guest
Select methods
Carry out measurements
Store measurement data
Check photometer (AQA1)
Check total system (AQA2)
AQA1 measured value labeling
AQA2 measured value labeling
Edit user-defined methods
Change AQA settings
Clear the memory
Set the date and time
Administrate users
Reset photometer settings
Carry out software update
