Search
Directory
Brands
Wilo manuals
Pumps
Drain TM 25_6
Manual
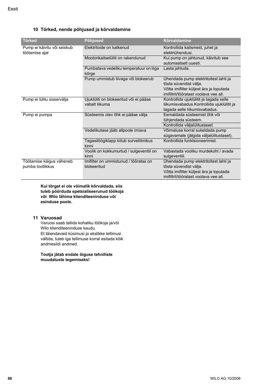
10 tõrked, nende põhjused ja kõrvaldamine, 11 varuosad – Wilo Drain TM 25_6 User Manual
Page 90
Text mode
Original mode
10 tõrked, nende põhjused ja kõrvaldamine, 11 varuosad | Wilo Drain TM 25_6 User Manual | Page 90 / 124
Pages:
1
…
88
89
90
91
92
…
124
wrong Brand
wrong Model
non readable
See also other documents in the category Wilo Pumps:
DrainLift WS 830
(26 pages)
TWI 5-SE
(18 pages)