Search
Directory
Brands
GE manuals
Computers
Panel C GFK-2251
Manual
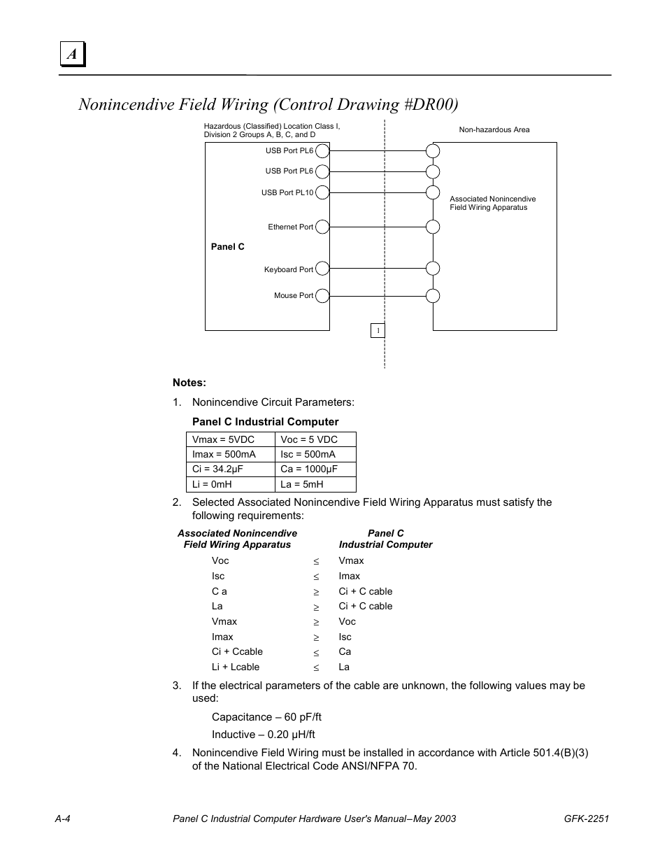
Nonincendive field wiring (control drawing #dr00) – GE Panel C GFK-2251 User Manual
Page 60
Text mode
Original mode
Nonincendive field wiring (control drawing #dr00) | GE Panel C GFK-2251 User Manual | Page 60 / 62
Pages:
1
…
57
58
59
60
61
62
wrong Brand
wrong Model
non readable