Panasonic CS-XE9PKUA User Manual
Page 71

71
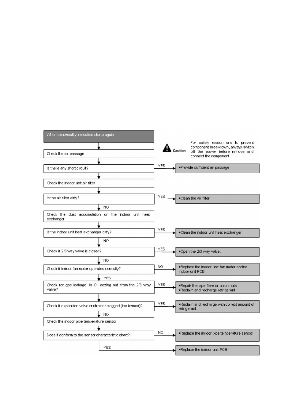
15.4.17 H99 (Indoor Freeze Prevention Protection: Cooling or Soft Dry)
Error Code will not display (no Timer LED blinking) but store in EEPROM
Malfunction Decision Conditions
Freeze prevention control takes place (when indoor pipe temperature is lower than 35.6°F (2°C))
Malfunction Caused
Air short circuit at indoor unit
Clogged indoor unit air filter
Dust accumulation on the indoor unit heat exchanger
2/3 way valve closed
Faulty indoor unit fan motor
Refrigerant
shortage
(refrigerant leakage)
Clogged expansion valve or strainer
Faulty indoor pipe temperature sensor
Faulty indoor unit PCB
Troubleshooting
This manual is related to the following products:
