Directory
Brands
Panasonic manuals
Furniture
AW-PH650
Manual

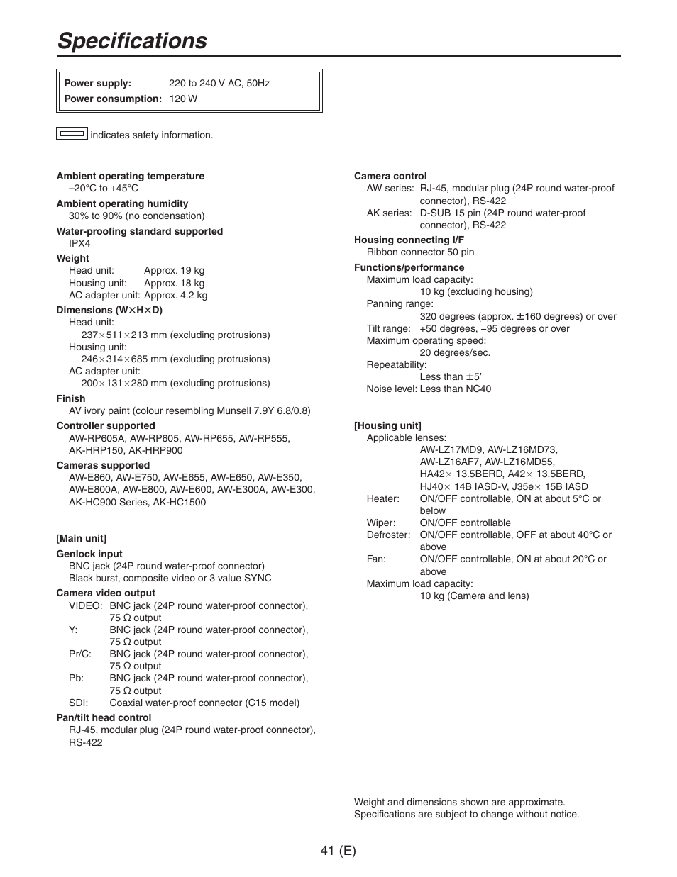
Specifications – Panasonic AW-PH650 User Manual

Page 42

  • Text mode
  • Original mode
Specifications | Panasonic AW-PH650 User Manual | Page 42 / 44 Specifications | Panasonic AW-PH650 User Manual | Page 42 / 44
Pages: 1 … 39 40 41 42 43 44
  • wrong Brand
  • wrong Model
  • non readable
This manual is related to the following products:
  • AW-PH650L
See also other documents in the category Panasonic Furniture:
  • EP1061 (29 pages)
  • TY-42PV30NZ (18 pages)
  • EP1060 (56 pages)
  • ET-PKF100S (2 pages)
  • EP1285 (19 pages)
  • TY-36G22M (4 pages)
  • EP1080 (18 pages)
  • EP3513 (42 pages)
  • EP574 (48 pages)
  • TY S50PX20U (2 pages)
  • EP30004 (49 pages)
  • ET-PKD55S (1 page)
  • WV-Q151C (12 pages)
  • EP1015 (54 pages)
  • Pedestal Stand TY-ST42PA20 (1 page)
  • EP-MS40 (33 pages)
  • EP1081 (6 pages)
  • EP3203 (98 pages)
  • EP-MA10 (27 pages)
  • EP1273 (27 pages)
  • 30003 (46 pages)
  • EP322 (41 pages)
Home Brands Popular manuals Recently added
Manuals Directory

© 2012–2025, azmanual.top
All rights reserved.