Directory
Brands
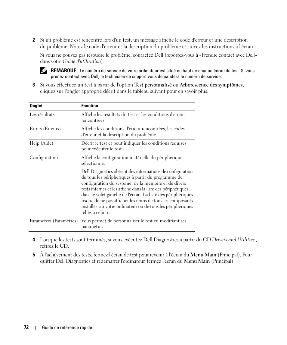
Dell manuals
Notebooks
Latitude D420
Manual

Dell Latitude D420 User Manual

Page 72

  • Text mode
  • Original mode
Dell Latitude D420 User Manual | Page 72 / 148 Dell Latitude D420 User Manual | Page 72 / 148
Pages: 1 … 70 71 72 73 74 … 148
  • wrong Brand
  • wrong Model
  • non readable
See also other documents in the category Dell Notebooks:
  • Latitude E6410 (52 pages)
  • Latitude E6410 (8 pages)
  • Latitude D630 (218 pages)
  • Latitude E6400 (99 pages)
  • Latitude E6400 (70 pages)
  • Latitude E6400 (4 pages)
  • Latitude E6400 (2 pages)
  • Latitude E6400 (8 pages)
  • Latitude D630 (69 pages)
  • Latitude D630 (168 pages)
  • Latitude D630 (43 pages)
  • Latitude D620 (43 pages)
  • Latitude D620 (102 pages)
  • Inspiron 1545 (51 pages)
  • Inspiron 1545 (72 pages)
  • Inspiron 1545 (4 pages)
  • LATITUDE C510 (55 pages)
  • LATITUDE C510 (170 pages)
  • Inspiron 1200 (45 pages)
  • Latitude D531 (Mid 2007) (46 pages)
  • Latitude D531 (224 pages)
  • Inspiron 1300 (142 pages)
  • Inspiron 1300 (44 pages)
  • INSPIRON 2600 (134 pages)
  • INSPIRON 2600 (87 pages)
  • INSPIRON 2600 (168 pages)
  • INSPIRON 2600 (2 pages)
  • Inspiron 1100 (40 pages)
  • Inspiron 1100 (164 pages)
  • Inspiron 5150 (160 pages)
  • Inspiron E1505 (45 pages)
  • Inspiron E1505 (186 pages)
  • Inspiron 1150 (38 pages)
  • Inspiron 1150 (112 pages)
  • Inspiron M5040 (2 pages)
  • Inspiron 3520 (72 pages)
  • A860 (96 pages)
  • 1000 (98 pages)
  • STREAK 7 (141 pages)
  • XPS 14Z (L412z) (2 pages)
  • Latitude D520 (99 pages)
  • Latitude D520 (42 pages)
  • Latitude D520 (124 pages)
  • Latitude D520 (96 pages)
  • Latitude D520 (168 pages)
Home Brands Popular manuals Recently added
Manuals Directory

© 2012–2025, azmanual.top
All rights reserved.