Program procedure using barcode menus, 2 program procedure using barcode menus – Baracoda BL2604 User Manual

Page 5

background image

BC/BL/BLR2604 Programming Guide

© Baracoda 2004

Page 4/22

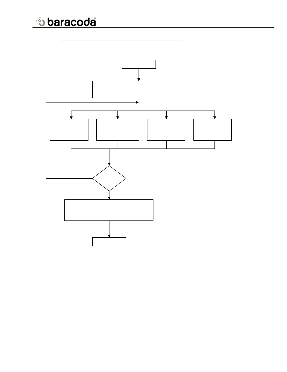
2 Program procedure using barcode menus












Read

« Start of configuration » Label

SET ALL

DEFAULTS

SET

GENERAL

CONFIGURATION

SET

SYMBOLOGIES

SET DATA

EDITING

FINISH

Read

« End of configuration »

Label

YES

NO

END

START

This manual is related to the following products: