Search
Directory
Brands
Baracoda manuals
Accessories communication
BL2604
Manual
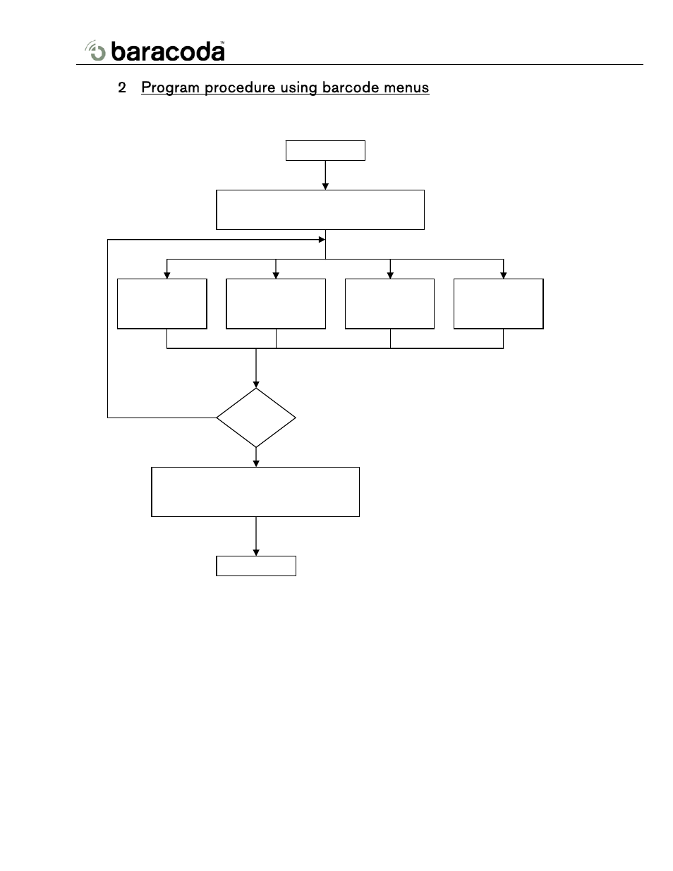
Program procedure using barcode menus, 2 program procedure using barcode menus – Baracoda BL2604 User Manual
Page 5
Text mode
Original mode
Program procedure using barcode menus, 2 program procedure using barcode menus | Baracoda BL2604 User Manual | Page 5 / 23
Pages:
1
…
3
4
5
6
7
…
23
wrong Brand
wrong Model
non readable
This manual is related to the following products:
BLR2604
See also other documents in the category Baracoda Accessories communication:
BCM 2604
(49 pages)
1D CMOS
(2 pages)
Barcode Reader
(83 pages)
2604
(9 pages)
L
(48 pages)
BBR-LA
(29 pages)
2
(42 pages)
V3.36.2
(9 pages)