1 cable length effect on water content measurement – Campbell Scientific TDR100 Time Domain Reflectometry Systems User Manual
Page 34

TDR100
8. Cable Length and Soil Electrical Conductivity
Effect on Water Content Determination
8.1 Cable Length Effect on Water Content Measurement
The determination of water content using the TDR system relies on the
evaluation of a pulse reflection from the TDR probe. The pulse generated by
the TDR100 and its reflections are subject to distortion during travel between
the TDR100 and the TDR probe. The cable connecting the probe to the
reflectometer has a characteristic impedance resulting in both resistive and
reactive losses. Distortion of the waveform caused by cable impedance can
introduce error into the water content determination.
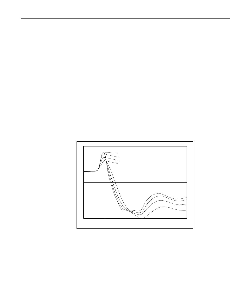
Figure 8-1 presents waveforms collected from a 3-rod probe (CS610) for
various cable lengths. As cable length increases, the rise time and the
amplitude of the reflection are affected. The slopes and extrema used by the
datalogger algorithm to analyze the waveform are shifted by the cable losses
resulting in error. For the data shown in Figure 8-1, the water content
measurement using the 66 meter cable was in error by about 1.5% volumetric
water content when electrical conductivity is low. However, in saline soils the
error can be several percent. See Bilskie (1997) for complete results of the
study.
16 meter cable
26 meter cable
45 meter cable
66 meter cable
FIGURE 8-1. Waveforms collected in a sandy loam using CS610 probe
with RG8 connecting cable. Volumetric water content is 24% and bulk
electrical conductivity is 0.3 dS m
-1
.
In general, water content is overestimated with increasing cable length. A
calibration of volumetric water content with apparent dielectric constant for a
given cable length can improve accuracy. Measurement precision at longer
28