Search
Directory
Brands
Tektronix manuals
Monitors
Waveform Monitors WFM700 Series
Manual
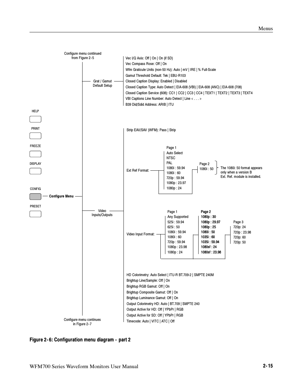
Figure 2- 6: configuration menu diagram - part 2 – Tektronix Waveform Monitors WFM700 Series User Manual
Page 30
Text mode
Original mode
Figure 2- 6: configuration menu diagram - part 2 | Tektronix Waveform Monitors WFM700 Series User Manual | Page 30 / 102
Pages:
1
…
28
29
30
31
32
…
102
wrong Brand
wrong Model
non readable
See also other documents in the category Tektronix Monitors:
1740A/1750A
(143 pages)
K1297-G20
(198 pages)
070-8811-08
(121 pages)
MTM400
(197 pages)
WFM 300A
(212 pages)
1760
(180 pages)