Search
Directory
Brands
CUE manuals
Software
WebGUI
Manual
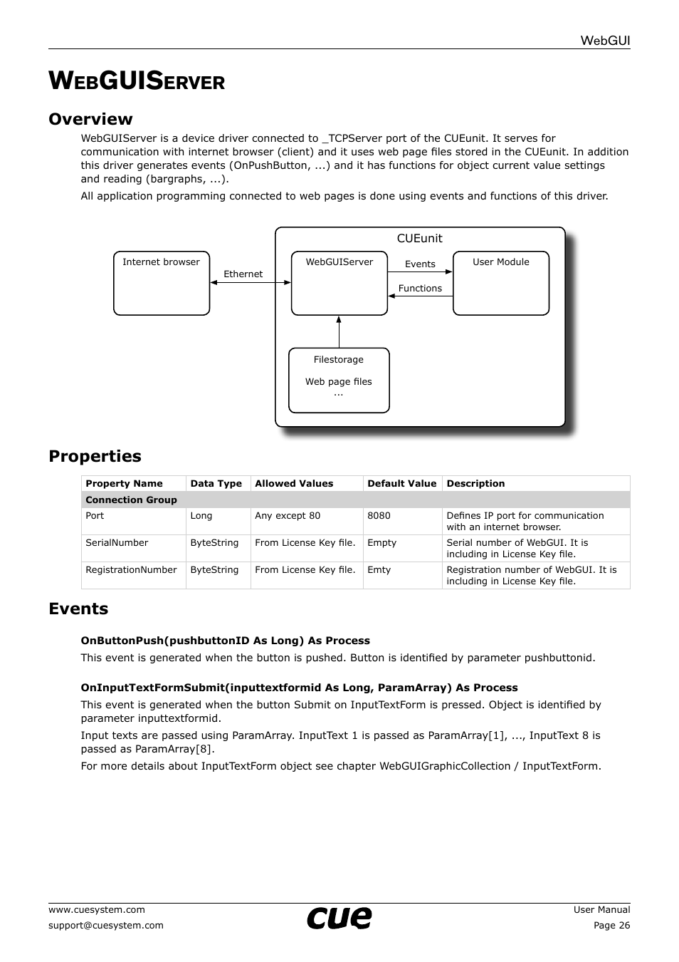
Webguiserver, Overview, Properties – CUE WebGUI User Manual
Page 26: Events, 26 w, Guis, Erver, 26 overview 26 properties 26 events, Webgui
Text mode
Original mode
Webguiserver, Overview, Properties | Events, 26 w, Guis, Erver, 26 overview 26 properties 26 events, Webgui | CUE WebGUI User Manual | Page 26 / 30
Pages:
1
…
24
25
26
27
28
…
30
wrong Brand
wrong Model
non readable
See also other documents in the category CUE Software:
PEX
(25 pages)
CueSiteManager Programmers
(32 pages)
Reservation System
(33 pages)