Directory
Brands
Xylem manuals
Tools
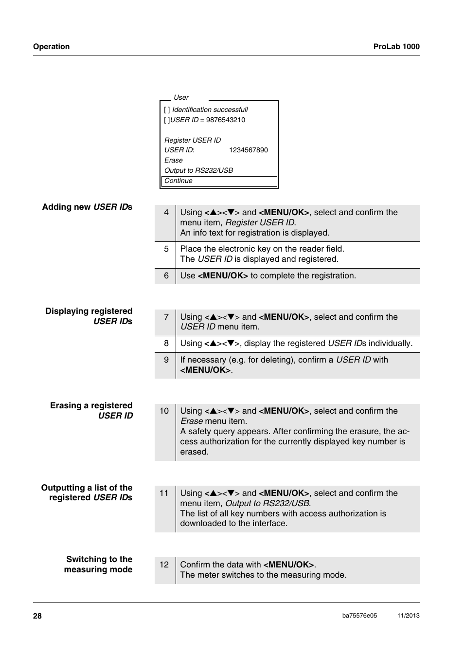
ProLab 1000
Manual

Xylem ProLab 1000 User Manual

Page 28

  • Text mode
  • Original mode
Xylem ProLab 1000 User Manual | Page 28 / 104 Xylem ProLab 1000 User Manual | Page 28 / 104
Pages: 1 … 26 27 28 29 30 … 104
  • wrong Brand
  • wrong Model
  • non readable
See also other documents in the category Xylem Tools:
  • Lab 850 BENCHTOP pH METER (73 pages)
  • Lab 850, up to serial number 09470314 (61 pages)
  • Lab 860 BENCHTOP pH METER (74 pages)
  • Lab 870 BENCHTOP pH METER (71 pages)
  • Lab 960 (77 pages)
  • Lab 970 (71 pages)
  • CG 839 (8 pages)
  • CG 842 (44 pages)
  • CG 843P (72 pages)
  • CG 843 (68 pages)
  • CG 853P (76 pages)
  • CG 853 (74 pages)
  • CG 855 (11 pages)
  • HandyLab 100 QuickStart (50 pages)
  • HandyLab 100 (66 pages)
  • HandyLab 200 QuickStart (50 pages)
  • HandyLab 200 (52 pages)
  • HandyLab 600 QuickStart (50 pages)
  • HandyLab 600 (72 pages)
  • HandyLab 680 QuickStart (50 pages)
  • HandyLab 680 (120 pages)
  • HandyLab 700(EX) (128 pages)
  • HandyLab 700 (76 pages)
  • HandyLab 780 (164 pages)
  • handylab LF 11 (44 pages)
  • handylab LF 12 (64 pages)
  • handylab OX 12 (60 pages)
  • handylab multi 12 (82 pages)
  • handylab pH 11 (48 pages)
  • handylab pH 12 (68 pages)
  • handylab pH LF 12 (80 pages)
  • IQ SensorNet FDO 70x IQ (SW) (48 pages)
  • IQ SensorNet ViSolid 700 IQ (SW) (58 pages)
  • MultiLab 4010-2 (112 pages)
  • MultiLab 4010-3 (112 pages)
  • EBI 40 TK-12 (18 pages)
  • TFX 410 (38 pages)
  • EBI 20 Serie (20 pages)
  • EBI20 TEMPERATURE/HUMIDITY DATALOGGERS (40 pages)
  • EBI 20-TF (40 pages)
  • TFX 422 (36 pages)
  • ST 1000 (42 pages)
  • TLC 1598 (2 pages)
  • TTX 100/110/120 (28 pages)
  • EBI 25 (18 pages)
Home Brands Popular manuals Recently added
Manuals Directory

© 2012–2025, azmanual.top
All rights reserved.