5 systematic troubleshooting – Emerson 5081-T User Manual
Page 86

80
MODEL 5081-T
SECTION 10.0
DIAGNOSIS AND TROUBLESHOOTING
10.5 SYSTEMATIC TROUBLESHOOTING
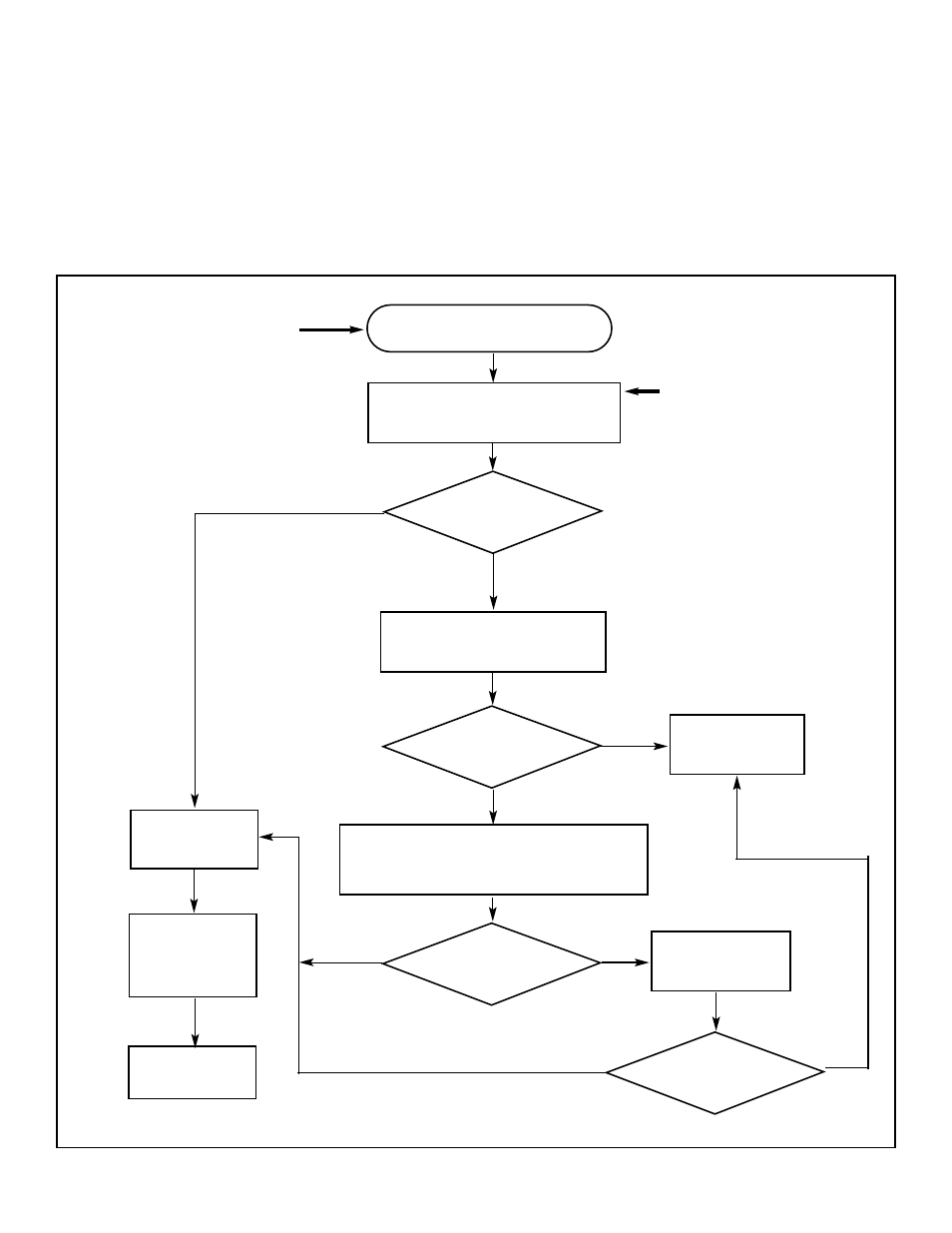
If the Quick Troubleshooting Guide does not resolve the error, try the step-by-step approach offered in Figure 10-4.
Step 1 Follow the troubleshooting flow chart.
Step 2 Refer to the tests and instructions indicated by the flow chart to diagnose the problem.
Conductivity Measurement
Problem (in the process)
Remove the sensor from process
and place sensor in air. Zero instru-
ment. Refer to Section 5.3 & 5.4.
OK?
Consult
Service Center
YES
NO
YES
YES
NO
NO
Does problem
still exist?
NOTE:
Before starting this procedure
make sure that all wiring is correct.
NOTE:
This step is for normal contact-
ing only, not for low conductivity
or resistivity.
FIGURE 10-4. Troubleshooting Flow Chart
Place sensor in process and
standardize. Refer to Section 5.3.
OK?
Restart
Transmitter
Remove sensor from process and test in known
conductivity solution or against a certified
conductivity instrument
OK?
Check wiring
for short
Check diagnostic
messages
Refer to Table 10-2
Check for ground
loops and/or
improper installation
YES
NO
