Directory
Brands
Cecilware manuals
Coffee machines
C-2003G-IT
Manual

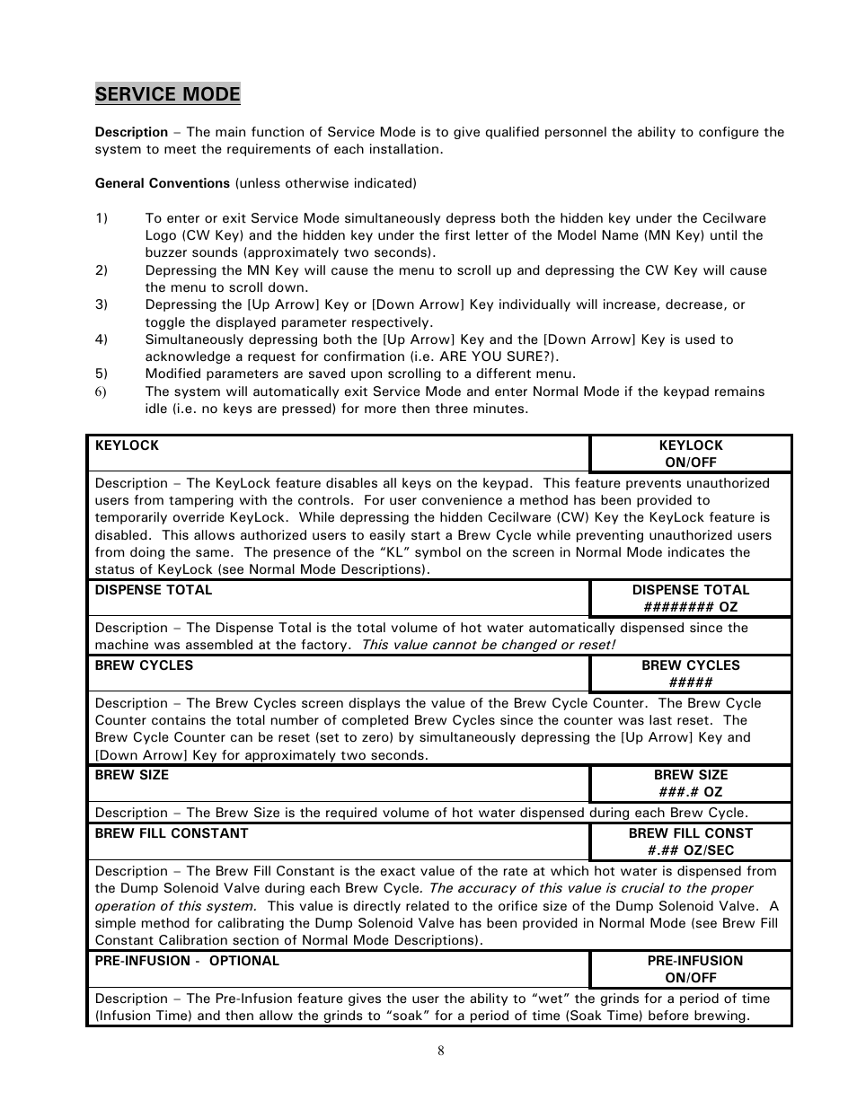
Service mode – Cecilware C-2003G-IT User Manual

Page 8

  • Text mode
  • Original mode
Service mode | Cecilware C-2003G-IT User Manual | Page 8 / 19 Service mode | Cecilware C-2003G-IT User Manual | Page 8 / 19
Pages: 1 … 6 7 8 9 10 … 19
  • wrong Brand
  • wrong Model
  • non readable
This manual is related to the following products:
  • C-2003RG-IT C-2003LG-IT
See also other documents in the category Cecilware Coffee machines:
  • Digital Century 2000 (2 pages)
  • ICAP-MINI (18 pages)
  • BT-2A 2 24 " 29 lbs (4 pages)
  • VAE-J1 (24 pages)
  • CL75N (2 pages)
  • ESP3 (20 pages)
  • BC302-IT (21 pages)
  • Pour-Over Series GB3P-LD (2 pages)
  • JAVA 2-QB-D3 (15 pages)
  • FTC-3-N (17 pages)
  • JAVACCINO3-IT (2 pages)
  • AUTOMATIC GAS COFFEE URN FE-100G (11 pages)
  • Coffee Brewers (4 pages)
  • APT18WT (13 pages)
  • BC301 (18 pages)
  • 2000 (25 pages)
  • HC600 (8 pages)
  • Java Self Serve (2 pages)
  • Ground Coffee Dispensers (2 pages)
  • JAVA2-LP (12 pages)
  • 2000 Series (4 pages)
  • Cappuccino (2 pages)
  • Java MC-5 (1 page)
  • JAVA 2-QB (17 pages)
Home Brands Popular manuals Recently added
Manuals Directory

© 2012–2025, azmanual.top
All rights reserved.