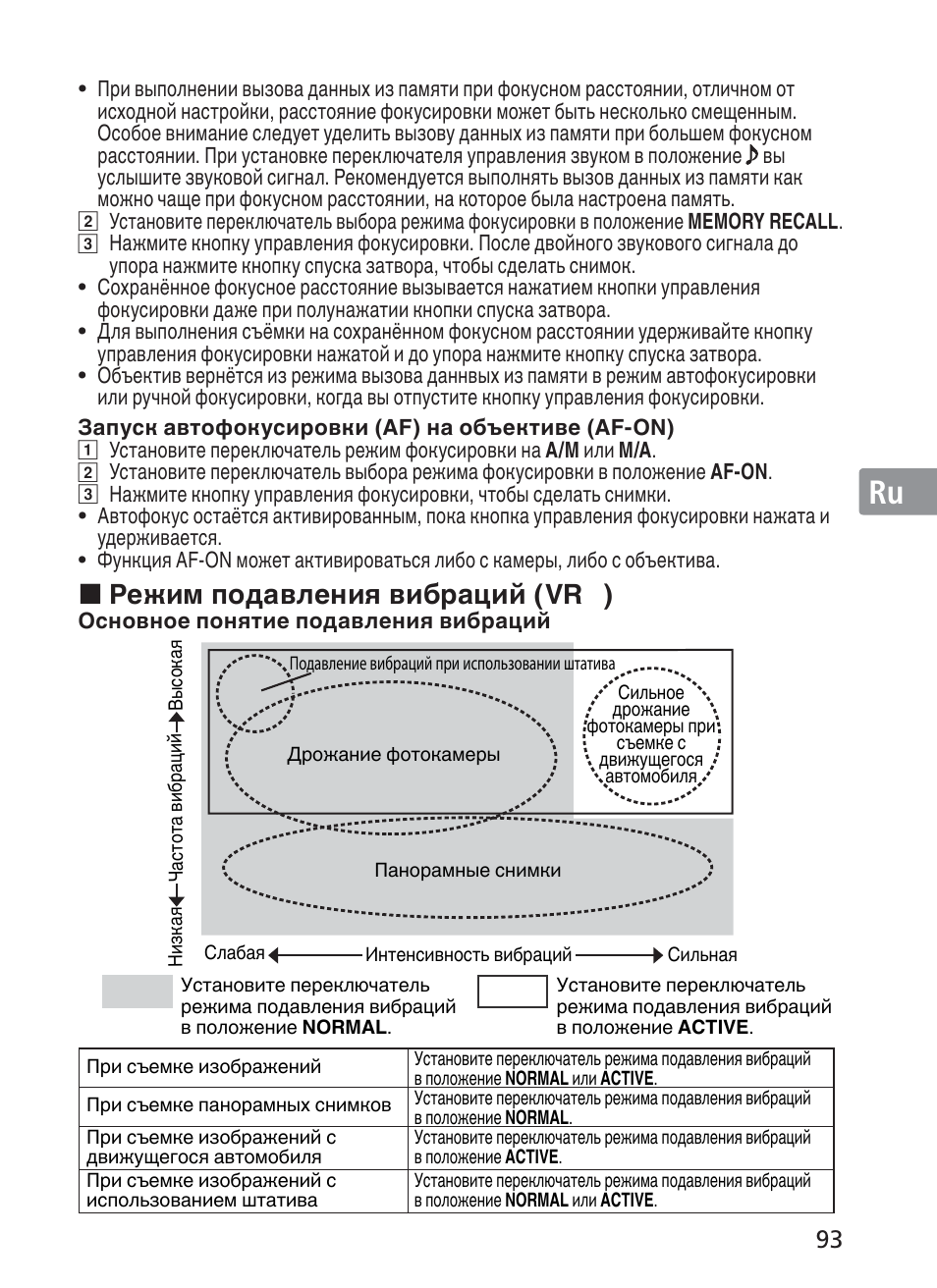
Jp en de fr es se ru nl it ck ch kr, Режим подавления вибраций (vr – Nikon AF-S VR II 200-400mm f-4G IF ED User Manual
Page 93
See also other documents in the category Nikon Lenses:
- 200-400mm f 4G ED AF-S VR II Zoom-Nikkor (212 pages)
- TC-20E III (148 pages)
- TC-20E III (148 pages)
- AF-S VR Micro 105mm f-2.8G IF-ED (88 pages)
- 16-85mm-f-35-56G-ED-AF-S-VR-DX-Zoom (128 pages)
- AF-S 500mm f-4D IF-ED II (54 pages)
- 24-70mm-f-28G-ED-AF-S-Nikkor (122 pages)
- PC Micro 85m f-2.8D (70 pages)
- 16-35mm-f-4G-AF-S-VR-Zoom-Nikkor (152 pages)
- 800mm-f-56E-FL-ED-AF-S-VR-Nikkor (2 pages)
- 600mm-f4G-ED-AF-S-VR-Nikkor (224 pages)
- AF DX Fisheye 10.5mm f-2.8G ED (2 pages)
- AF 28-105mm f-3.5-4.5D IF (2 pages)
- 28-300mm-f-35-56G-ED-AF-S-VR-Zoom (152 pages)
- AF-S NIKKOR ED 400mm f-2.8D II IF (56 pages)
- AF-S NIKKOR 28mm f/1.8G Lens (176 pages)
- AF-S NIKKOR 28mm f/1.8G Lens (176 pages)
- 18-55mm-f-35-56G-AF-S-DX-VR-Zoom-Nikko (108 pages)
- AF 70-300mm f-4.5-5.6D ED (2 pages)
- AF-S 28-70mm f-2.8D IF-ED (53 pages)
- AF 18-35mm f-3.5-4.5D IF-ED (2 pages)
- 35mm-f-14G-AF-S-Nikkor (140 pages)
- AF-S VR 200mm f-2G IF-ED (88 pages)
- 14mm-f-28D-ED-AF-Nikkor (2 pages)
- AF 180mm f-2.8D IF-ED (2 pages)
- AF 28-80mm f-3.3-5.6G (2 pages)
- AF-S VR 200-400mm f-4G IF ED (87 pages)
- 35mm-f-18G-AF-S-Nikkor (2 pages)
- 45mm f-2.8P (2 pages)
- AF-S VR 24-120 f-3.5-5.6G IF-ED (71 pages)
- AF-S 17-35mm f-2.8D IF-ED (60 pages)
- 85mm-f-28D-PC-E-Nikkor (252 pages)
- 24-120mm-f-4G-ED-AF-S-VR-Zoom-Nikkor (164 pages)
- 85mm-f-14G-AF-S-Nikkor (140 pages)
- 40mm-f-28G-AF-S-DX-Micro-Nikkor (168 pages)
- 16mm-f-28D-AF-Fisheye-Nikkor (16 pages)
- 28mm-f-28D-AF-Nikkor (2 pages)
- 55-300mm-f-45-56G-AF-S-DX-Zoom-Nikkor (140 pages)
- AF-S 300mm f-4D IF-ED (54 pages)
- AF 70-300mm f-4.5-5.6G (2 pages)
- 24mm-f-14G-ED-AF-S-Nikkor (116 pages)
- PC-E Micro NIKKOR 45mm f-2.8D ED (252 pages)
- 35mm-f-18G-AF-S-DX-Nikkor (80 pages)
- 70-300mm-f-45-56G-ED-IF-AF-S-VR-Zoom (108 pages)
- 400mm-f28G-ED-AF-S-VR-Nikkor (196 pages)