Search
Directory
Brands
VACUUBRAND manuals
Equipment
VNC 2
Manual
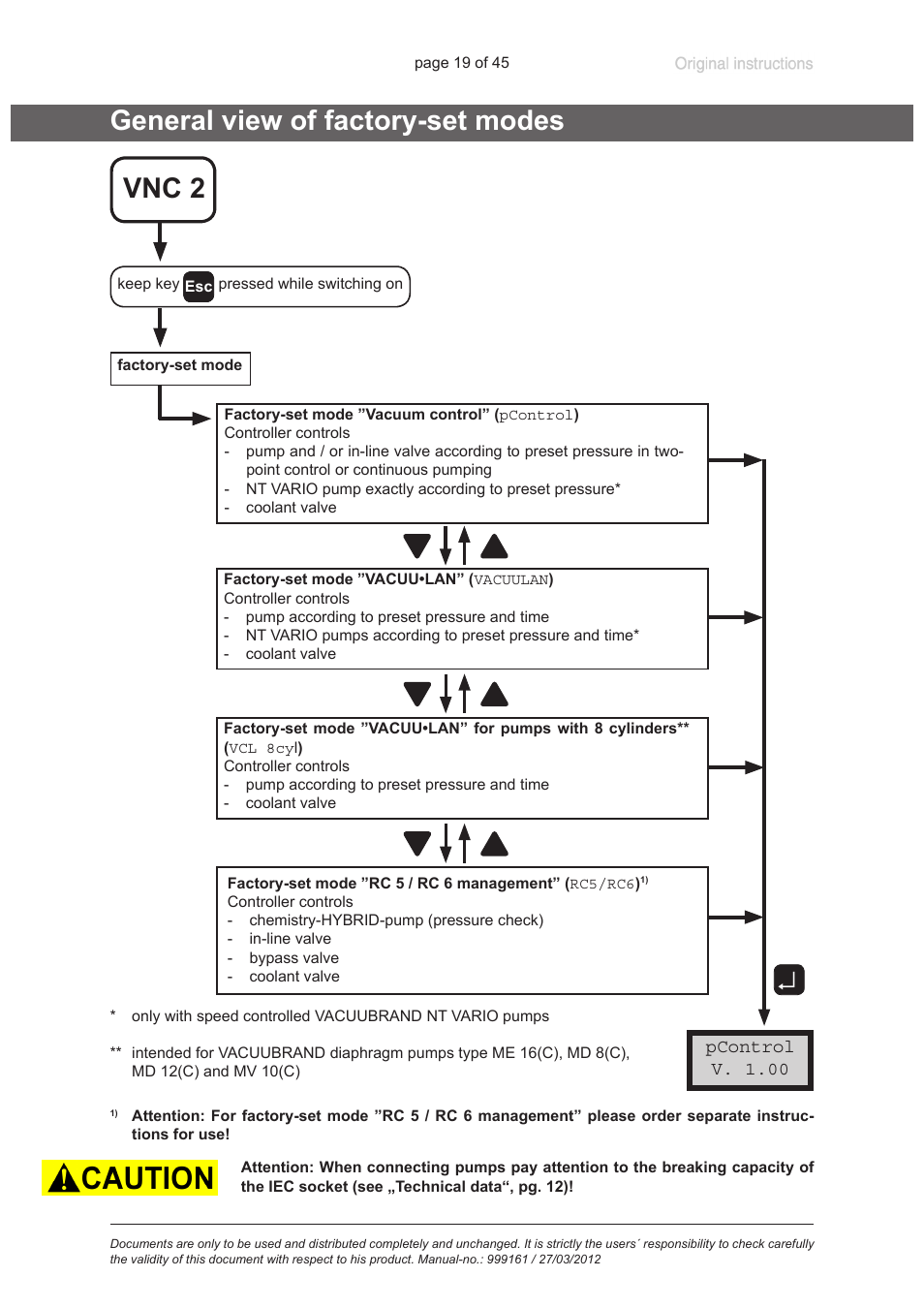
General view of factory-set modes, General view of factory-set modes vnc 2 – VACUUBRAND VNC 2 User Manual
Page 19
Text mode
Original mode
General view of factory-set modes, General view of factory-set modes vnc 2 | VACUUBRAND VNC 2 User Manual | Page 19 / 45
Pages:
1
…
17
18
19
20
21
…
45
wrong Brand
wrong Model
non readable
See also other documents in the category VACUUBRAND Equipment:
CVC 2II
(36 pages)
CVC 3000
(80 pages)
CVC 3000 E
(75 pages)
CVC 3000 detect
(74 pages)
DCP 3000
(64 pages)
DVR 2
(17 pages)
DVR 3
(18 pages)
DVR 4
(20 pages)
DVR 5
(17 pages)
Liquid level sensor
(4 pages)
MPT 100
(22 pages)
MPT 100
(20 pages)
VACUU·CONTROL
(80 pages)
VNC 1
(35 pages)
VNC 2 E
(41 pages)
VSK 3000
(18 pages)