Appendix iv: operational flowchart, Pilot arc, Start weld – Tweco CE Ultima 150 User Manual
Page 44: End weld, Weld arc

APPENDICES
38
Manual 0-2530
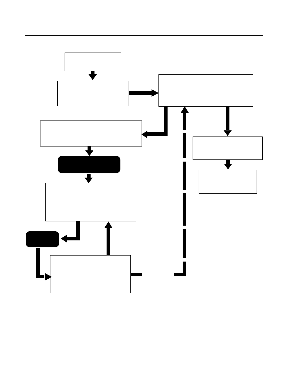
APPENDIX IV: OPERATIONAL FLOWCHART
ACTION
ON/OFF switch to OFF.
RESULT
All indicators off. Power Supply fan off.
ACTION
ON/SET switch to ON.
Protect eyes and activate torch.
ACTION
Start Weld
.
Torch positioned within transfer distance of workpiece.
Activate remote ON/OFF switch.
RESULT
DC indicator ON. Main arc transfer.
Pilot arc remains ON.
PILOT indicator ON. DC indicator still ON.
ACTION
End Weld.
Arc deactivated by remote device.
RESULT
Main arc stops. Pilot remains ON.
(Power supply enable signal removed.)
DC indicator OFF. PILOT indicator ON.
ACTION
Open external disconnect switch.
RESULT
No power to system.
ACTION
Close external disconnect switch.
RESULT
Power to system.
ACTION
ON/SET
switch to SET.
RESULT
Plasma Gas solenoid open. Gas flows to set flow rates.
GAS indicator ON.
Shield Gas solenoid opens if TB1- 17, 18 are connected.
ACTION
ON/OFF switch to ON.
RESULT
AC, TEMP, COOLANT indicators ON.
Fan/Pump ON.
Pilot disabled during 5 second pre-flow.
RESULT
Gas flows. GAS indicator ON.
HF relay closes. Pilot Arc established. PILOT indicator ON.
Pilot Arc
(Pilot Arc designed to
operate on continuous basis)
(at completion
of operation)
Transfer
Weld Arc
A-00832
