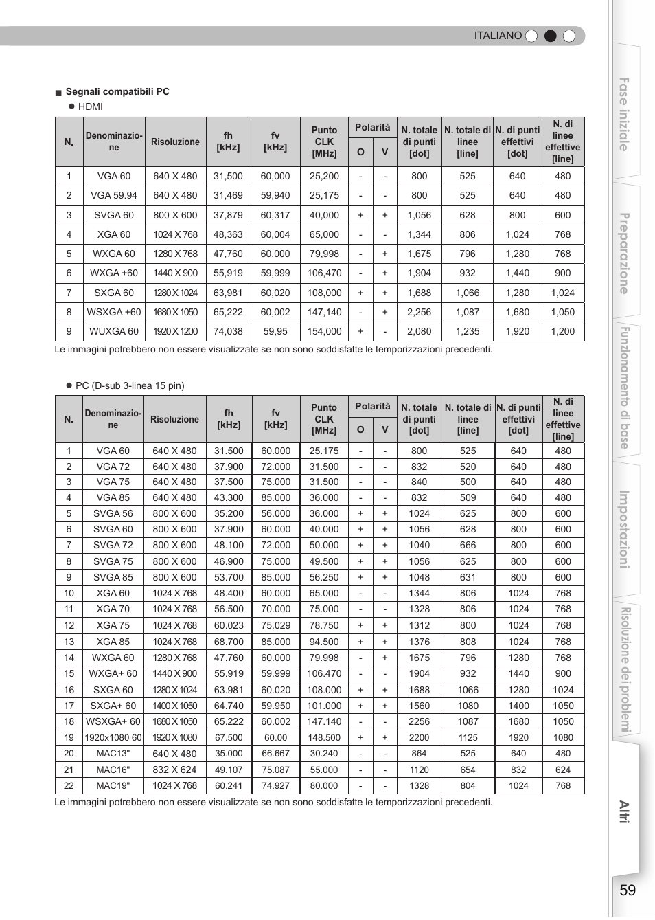
Segnali pc compatibili, P59) – JVC DLA-HD950 User Manual
Page 121
This manual is related to the following products:
See also other documents in the category JVC Projectors:
- 1108TTH-AO-AO (120 pages)
- HD-Z70RX5 (34 pages)
- HD-P61R2U (96 pages)
- HD-65S998 (88 pages)
- DLA-G10U (15 pages)
- DLA-M5000SCU (68 pages)
- LCT2441-001B (162 pages)
- D-ILA DLA-RS40 (78 pages)
- LX-D1010 (4 pages)
- PC007182999-1 (185 pages)
- HD-70FH97 (96 pages)
- DLA-HX2U (62 pages)
- LCT2370-003A (64 pages)
- 335 (16 pages)
- DLA-HD1 (55 pages)
- DLA-HD1 (108 pages)
- DLA-HD1 (2 pages)
- PC007182399-1 (62 pages)
- DLA-SH4K (48 pages)
- D-ILA DLA-HD350 (57 pages)
- HD-61G657 (88 pages)
- 370 SC (163 pages)
- I'Art Pro AV-56P786 (80 pages)
- 250 (190 pages)
- 1004KGI-II-IM (72 pages)
- LX-P1010ZU (79 pages)
- AV 56WP94 (88 pages)
- HD-55G456 (88 pages)
- HD-61FN97 (96 pages)
- I'Art 1004TNH-II-IM (72 pages)
- AV 48P777 (72 pages)
- CB100 (128 pages)
- HD-56FB97 (88 pages)
- AV 56WP74 (64 pages)
- BHL5006-S (4 pages)
- DLA-HD350 (58 pages)
- DLA-HD350 (173 pages)
- HD-61Z576 (80 pages)
- AV-56WP30 (68 pages)
- DLA-HX2E (62 pages)
- HD-ILA LCT2067-002A-A (96 pages)
- AVO48WP30 (68 pages)
- DLA-SX21U (58 pages)
- I'Art 1003-TN-II-IM (88 pages)
- AV-P960E (109 pages)
