Directory
Brands
Panasonic manuals
Faxes
2-LINE PLAIN PAPER FAX KX-FPW111
Manual

Reports, Error messages reports – Panasonic 2-LINE PLAIN PAPER FAX KX-FPW111 User Manual

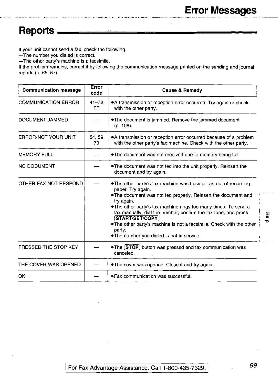
Page 99

  • Text mode
  • Original mode
Reports, Error messages reports | Panasonic 2-LINE PLAIN PAPER FAX KX-FPW111 User Manual | Page 99 / 132 Reports, Error messages reports | Panasonic 2-LINE PLAIN PAPER FAX KX-FPW111 User Manual | Page 99 / 132
Pages: 1 … 97 98 99 100 101 … 132
  • wrong Brand
  • wrong Model
  • non readable
See also other documents in the category Panasonic Faxes:
  • KX-FT21RS (166 pages)
  • UF-490 (120 pages)
  • UF-490 (121 pages)
  • 2000 (84 pages)
  • UF-560 (184 pages)
  • KX-FPC96 (112 pages)
  • KX-FPC95 (112 pages)
  • KX-F780RS (80 pages)
  • KX-FP86 (88 pages)
  • DP-1510P (60 pages)
  • KX-PW506DL (20 pages)
  • KX-FHD351 (104 pages)
  • KX-FM260 (144 pages)
  • KX-PW503DW (20 pages)
  • 8035 (196 pages)
  • PNQX2904ZA (92 pages)
  • PANAFAX UF-333 (148 pages)
  • FV-11VHL2 (12 pages)
  • Panafax UF-766 (142 pages)
  • KX-FC195AL (86 pages)
  • KX-FP101AL (140 pages)
  • KX-PW301DL (32 pages)
  • KX-FP81AL (92 pages)
  • KX-F2581NZ (82 pages)
  • KX-FP141AL (74 pages)
  • KX-FLM651 (90 pages)
  • KX-PW608DW (24 pages)
  • KX-FT932HK (44 pages)
  • KX-FC228HK (80 pages)
  • KX-PW507DL (20 pages)
  • KX-PW30CL (12 pages)
  • KX-FL511 (82 pages)
  • KX-PW57CL (28 pages)
  • KX-FL513HK (2 pages)
  • KX-FHD301 (76 pages)
  • KX-FP121NZ (124 pages)
  • KX-FPC141 (156 pages)
  • WHISPER GREEN FV-13VKS2 (8 pages)
  • DX-600 (255 pages)
  • Panafax UF-121 (72 pages)
  • Panafax UF-750 (166 pages)
  • KX-FT21HK (70 pages)
  • KX-PW36CW (24 pages)
  • KX-FC225AL (80 pages)
Home Brands Popular manuals Recently added
Manuals Directory

© 2012–2025, azmanual.top
All rights reserved.