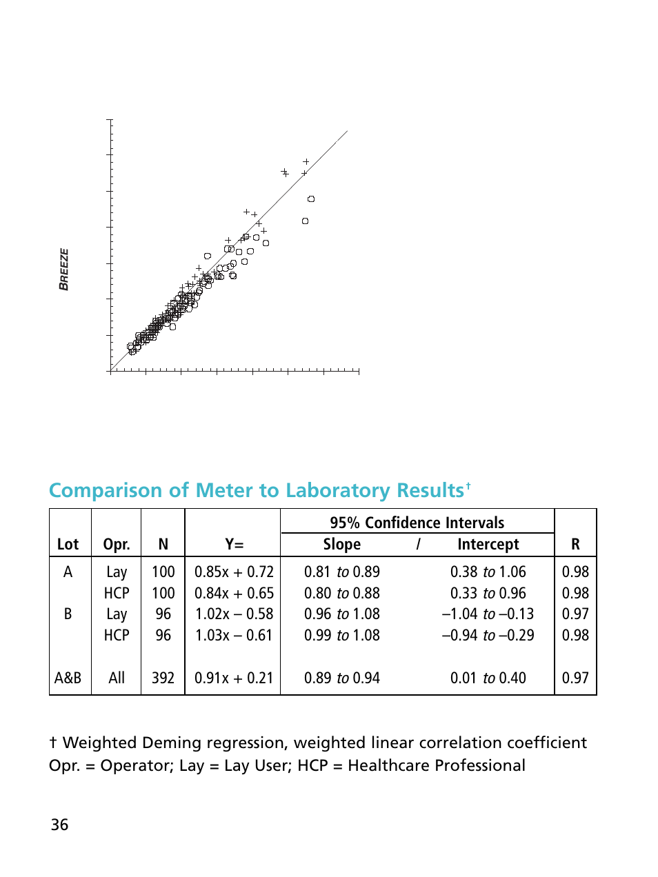
Comparison of meter to laboratory results, B. healthcare professional results – Bayer HealthCare Ascensia BREEZE and Ascensia AUTODISCTM Unique 10-Test Disc User Manual

Page 42

Comparison of meter to laboratory results, B. healthcare professional results | Bayer HealthCare Ascensia BREEZE and Ascensia AUTODISCTM Unique 10-Test Disc User Manual | Page 42 / 55 Comparison of meter to laboratory results, B. healthcare professional results | Bayer HealthCare Ascensia BREEZE and Ascensia AUTODISCTM Unique 10-Test Disc User Manual | Page 42 / 55