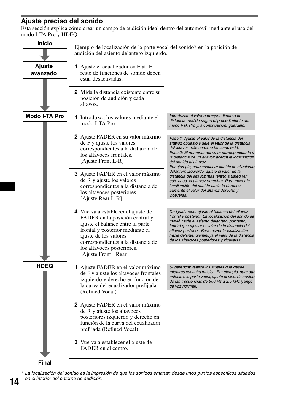
Ajuste preciso del sonido – Sony CDX-GT805DX User Manual
Page 60
See also other documents in the category Sony Car speakers:
- CDX-NC9950 (2 pages)
- D-E400HR (2 pages)
- CDX-L350 (4 pages)
- D-E805 (2 pages)
- CDXGT300 (2 pages)
- CDX-L570X (4 pages)
- D-SJ15 (28 pages)
- D-SJ15 (24 pages)
- CDX-GT40W (36 pages)
- D-E775 (2 pages)
- CD-DH899N (16 pages)
- CMT-NEZ5 (32 pages)
- CDX-L490B (52 pages)
- CDX-L470X (4 pages)
- CDX-L470X (56 pages)
- CDX GT54UIW (2 pages)
- CDX GT54UIW (80 pages)
- XR-CA670X (150 pages)
- XR-M550 (100 pages)
- CDX-GT28 (2 pages)
- D-E525 (2 pages)
- CDX-1150 (2 pages)
- CDX-1150 (1 page)
- CDX-M3DI (112 pages)
- CDX-M3DI (36 pages)
- CDX-M3DI (4 pages)
- Bluetooth BT3700U (180 pages)
- CDX-M750 (116 pages)
- CDX-M650 (116 pages)
- CDX-F7715X (56 pages)
- CDX-F7715X (2 pages)
- DVX-100 (160 pages)
- DVX-100 (3 pages)
- DVX-100 (1 page)
- CDX-CA700X (148 pages)
- CDX-CA700X (2 pages)
- CDXGT620U (120 pages)
- CDX-R3300 (68 pages)
- CDX-M7810 (60 pages)
- CDX-M7810 (2 pages)
- XS-L836 (2 pages)
- CDX-F7705X (100 pages)
- FM/AM CASSETTE CAR STEREO XR-4800 (17 pages)
- CDX-CA860X (92 pages)
- XS-R1341 (2 pages)
