Search
Directory
Brands
Apex Digital manuals
Projectors
GB5108
Manual
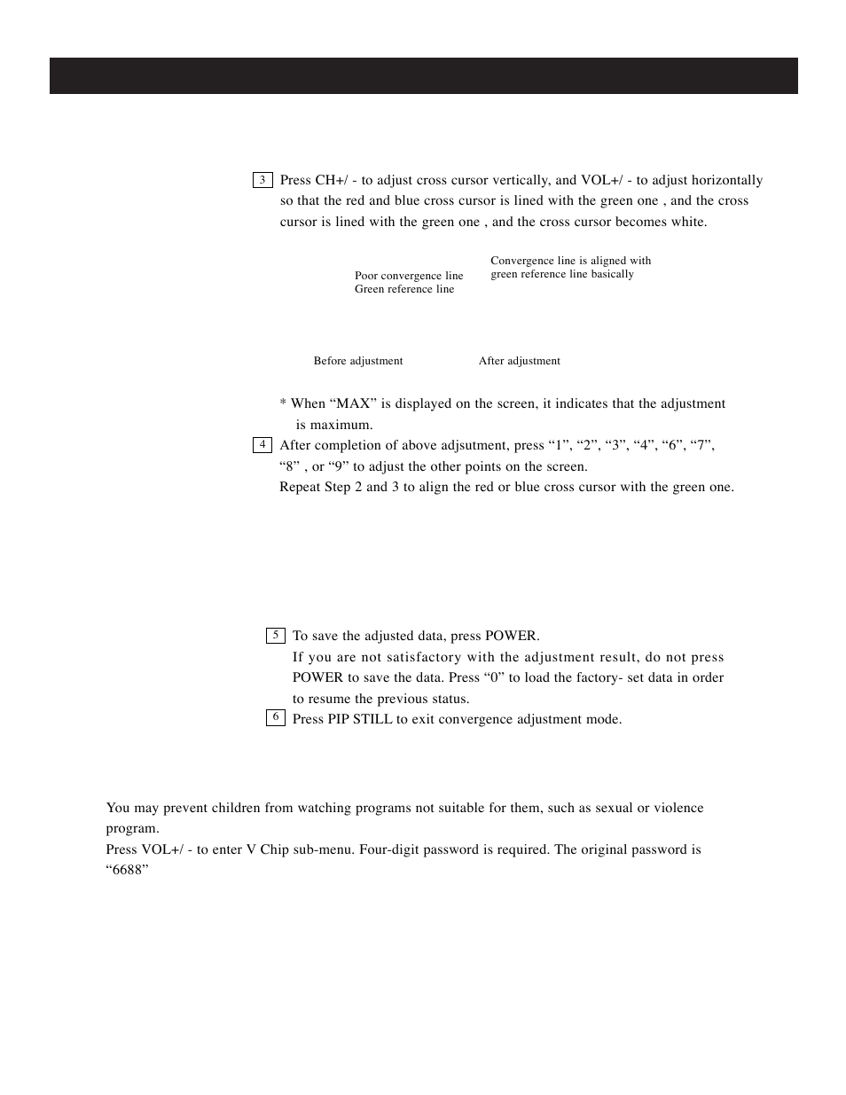
Menus (continued) – Apex Digital GB5108 User Manual
Page 31
Text mode
Original mode
Menus (continued) | Apex Digital GB5108 User Manual | Page 31 / 43
Pages:
1
…
29
30
31
32
33
…
43
wrong Brand
wrong Model
non readable
See also other documents in the category Apex Digital Projectors:
GB5108
(43 pages)