Search
Directory
Brands
Omron manuals
Furniture
F3S-B
Manual
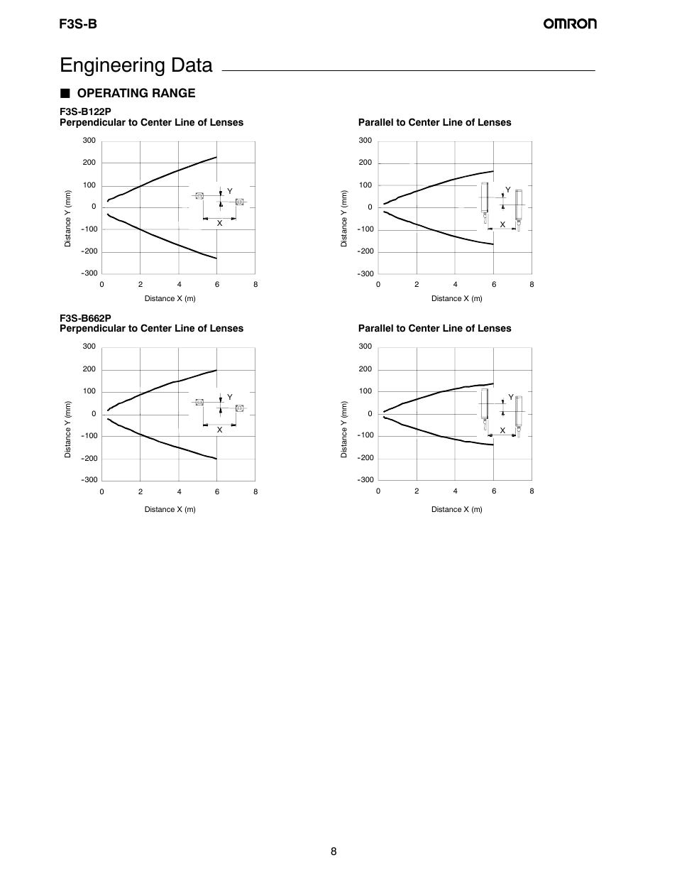
Engineering data, F3s-b, Joperating range – Omron F3S-B User Manual
Page 7
Text mode
Original mode
Engineering data, F3s-b, Joperating range | Omron F3S-B User Manual | Page 7 / 20
Pages:
1
…
5
6
7
8
9
…
20
wrong Brand
wrong Model
non readable