Search
Directory
Brands
Sound Performance Lab manuals
Car speakers
Kultube Model 2049
Manual
Operating, Understanding and enjoying the kultube – Sound Performance Lab Kultube Model 2049 User Manual
Page 18
Text mode
Original mode
Operating, Understanding and enjoying the kultube | Sound Performance Lab Kultube Model 2049 User Manual | Page 18 / 24
Pages:
1
…
16
17
18
19
20
…
24
wrong Brand
wrong Model
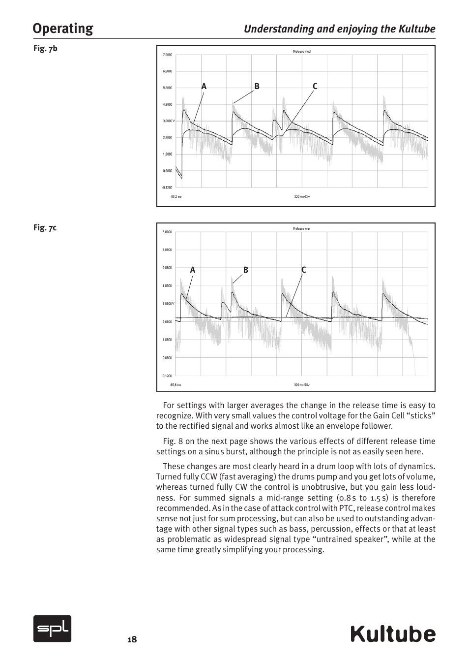
non readable